Last update :
27/11/2025
Anticoagulant   Heparin sodium  
injection
Stability in solutions Stability of mixtures Factors which affect stability Compatibility Route of administration References pdf
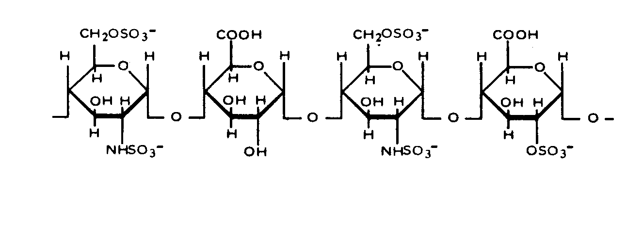
   Chemical structure  

Tradename   Tradename     

Trade names are indicative and excipients composition can be different depending on the country and manufacturers

Arapin Chile
Ateroclar Italy
Clarisco Italy
Epsoclar Italy
Hepaflex Finland, Norway
Hepamax Chile, Colombia, Ecuador
Heparin Austria, Canada, Denmark, Finland, Great Britain, Greece, Hungary, Netherlands, Norway, Republic of South Africa, russian, Serbia, Sweden, Switzerland, Thailand, Turkey, United States of America
Heparine Belgium, France
Heparinised Australia
Heparstad Germany
Liquemin Switzerland, Turkey
Liquemine Brazil
Monoparin Saudi Arabia
Normoparin Italy
Nuparin Ecuador
Pharepa Italy
Riveparin Argentina
Sobrius Argentina, Ecuador
Thrombophob Germany
Route of administration   Route of administration :Heparin sodium     
Route
Intravenous
Continuous infusion

  Mentions Légales