zadnja posodobitev :
27/01/2026
Antikoagulant   Heparin sodium  
Brizgalka
Stabilnost raztopine Stabilnost mešanice Faktorji, ki vplivajo na stabilnost Kompatibilnost način aplikacije Viri pdf
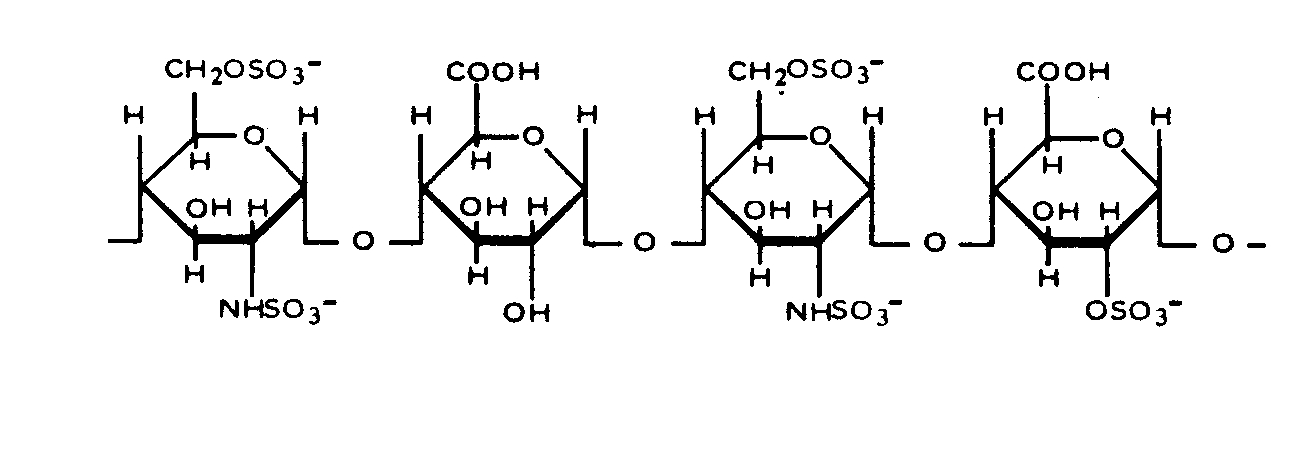
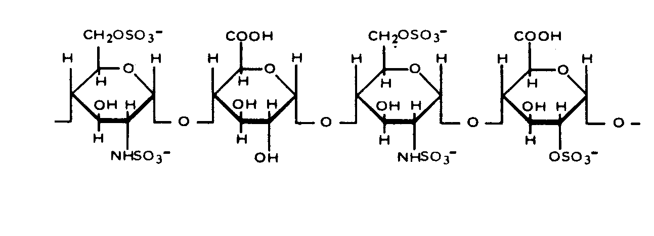
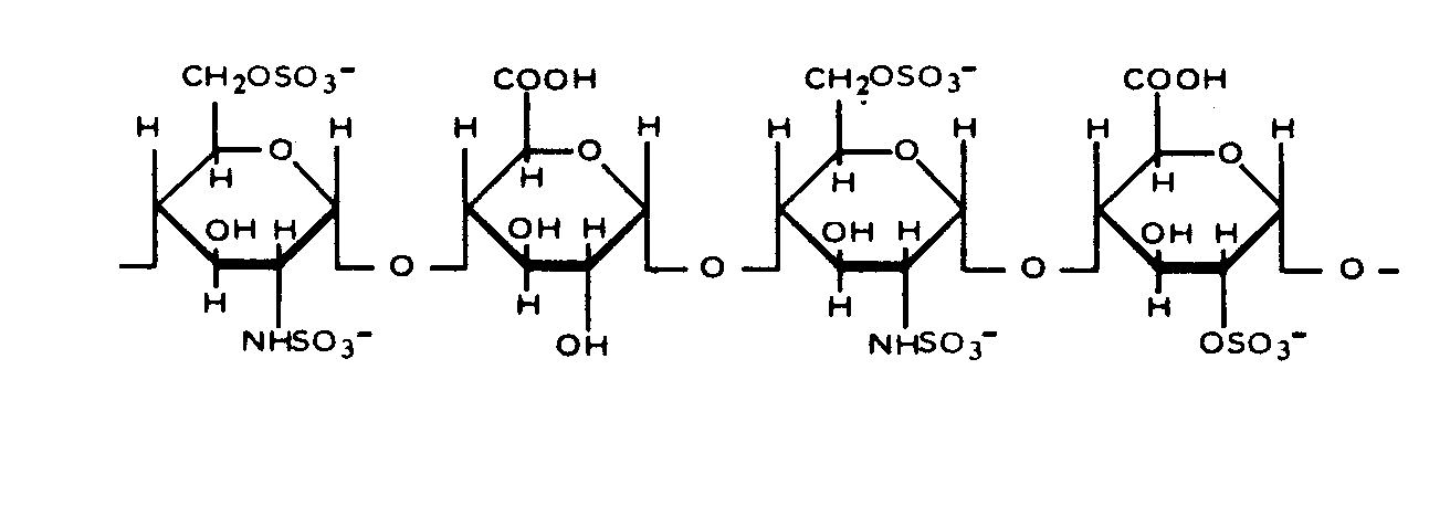
   Kemična formula  

Lastniško ime   Lastniško ime     

Sestava pomožnih snovi je med paralelami lahko različna

Arapin Čile
Ateroclar Italija
Clarisco Italija
Epsoclar Italija
Hepaflex Finska, Norveška
Hepamax Čile, Ekvador, Kolumbija
Heparin Avstrija, Danska, Finska, Grčija, Jugoslavija, Južnoafriška republika, Kanada, Madžarska, Nizozemska, Norveška, ruščina, Švedska, Švica, Tajska, Turčija, Velika Britanija, Združene države Amerike
Heparine Belgija, Francija
Heparinised Avstralija
Heparstad Nemčija
Liquemin Švica, Turčija
Liquemine Brazilija
Monoparin Savdska Arabija
Normoparin Italija
Nuparin Ekvador
Pharepa Italija
Riveparin Argentina
Sobrius Argentina, Ekvador
Thrombophob Nemčija
način aplikacije   način aplikacije :Heparin sodium     
Voie
Intravensko
Neprekinjena infuzija

  Mentions Légales