Siste oppdatering :
27/11/2025
Antikoagulantia   Heparin sodium  
Injeksjon
Oppløsningsstabilitet Stabilitet i blandinger Faktorer som påvirker stabiliteten Kompatibilitet Administrasjonsmåte Referanser pdf
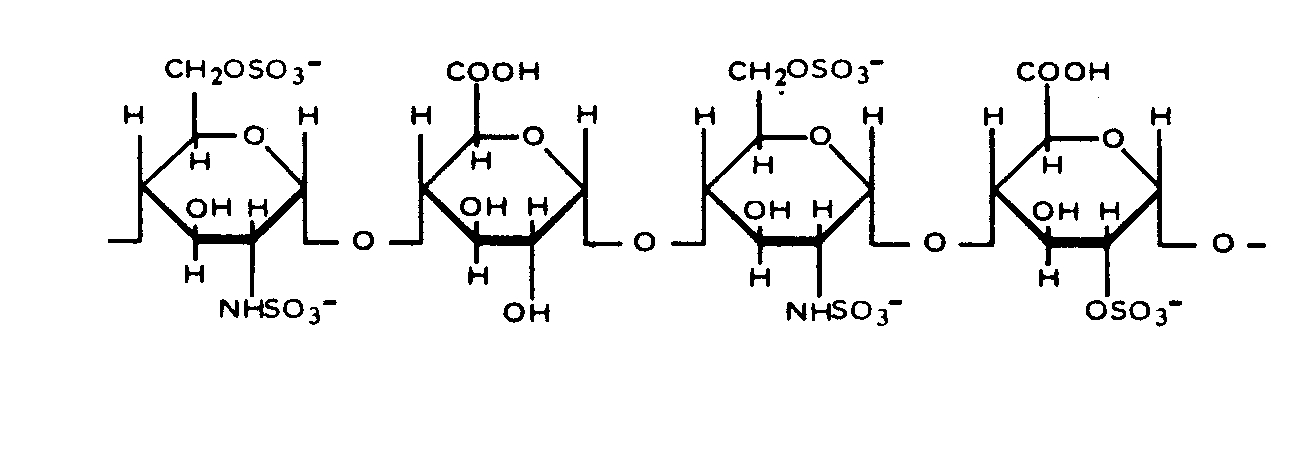
   Kjemisk struktur  

Handelsnavn   Handelsnavn     

Handelsnavn er veiledende og sammensetning av hjelpestoffer kan være forskjellig avhengig av land og produsent

Arapin Chile
Ateroclar Italia
Clarisco Italia
Epsoclar Italia
Hepaflex Finland, Norge
Hepamax Chile, Colombia, Ecuador
Heparin Canada, Danmark, Finland, Hellas, Jugoslavia, Nederland, Norge, russisk, Storbritannia, Sveits, Sverige, Sør-Afrika, Thailand, Tyrkia, Ungarn, USA, Østerrike
Heparine Belgia, Frankrike
Heparinised Australia
Heparstad Tyskland
Liquemin Sveits, Tyrkia
Liquemine Brasil
Monoparin Saudi-Arabia
Normoparin Italia
Nuparin Ecuador
Pharepa Italia
Riveparin Argentina
Sobrius Argentina, Ecuador
Thrombophob Tyskland
Administrasjonsmåte   Administrasjonsmåte :Heparin sodium     
Voie
Intravenøs
Kontinuerlig infusjon

  Mentions Légales