Pēdējā atjaunošana :
27/01/2026
Antikoagulants   Heparin sodium  
Injekcija
Šķīduma stabilitāte Maisījuma stabilitāte Stabilitāti ietekmējoši faktori Saderība Levadīšanas veids Literatūras saraksts pdf
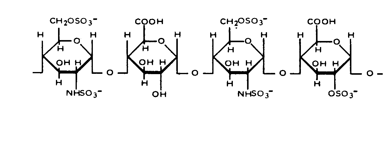
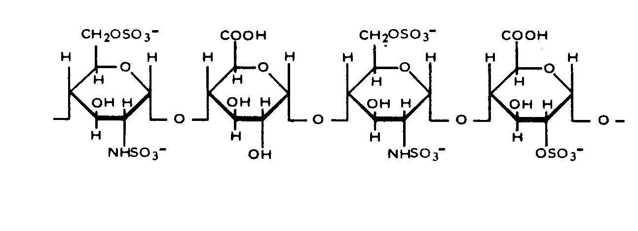
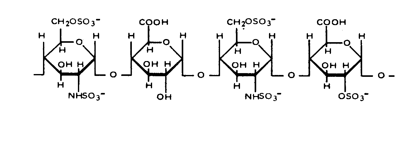
   Ķīmiskā uzbūve   

Oriģinālais nosaukums   Oriģinālais nosaukums     

Tirdzniecības nosaukumi ir apzīmējoši un palīgvielas var atšķirties dažādām valstīm un laboratorijām

Arapin Čīle
Ateroclar Itālija
Clarisco Itālija
Epsoclar Itālija
Hepaflex Norvēģija, Somija
Hepamax Čīle, Ekvadora, Kolumbija
Heparin Amerikas Savienotās Valstis, Austrija, Dānija, Dienvidāfrikas Republika, Dienvidslāvija, Grieķija, Holande, Kanāda, krievu, Lielbritānija, Norvēģija, Somija, Šveice, Taizeme, Turcija, Ungārija, Zviedrija
Heparine Beļģija, Francija
Heparinised Austrālija
Heparstad Vācija
Liquemin Šveice, Turcija
Liquemine Brazīlija
Monoparin Saūda Arābija
Normoparin Itālija
Nuparin Ekvadora
Pharepa Itālija
Riveparin Argentīna
Sobrius Argentīna, Ekvadora
Thrombophob Vācija
Levadīšanas veids   Levadīšanas veids :Heparin sodium     
Voie
Intravenozi
Ilgstoša  infūzija

  Mentions Légales