Son güncelleme :
27/04/2026
Antibiyotik   Flucloxacillin sodium  
Enjeksiyon
Çözeltilerin stabilitesi Karışımlardaki stabilitesi Stabiliteyi etkileyen faktörler Uyumluluk Uygulama yöntemi Kaynaklar pdf
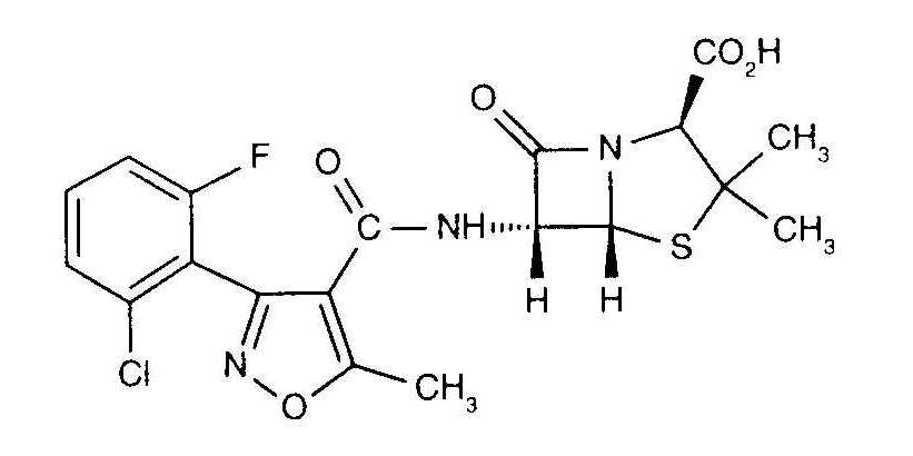
   Kimyasal yapı   

Ticari isim   Ticari isim     

Trade names are indicative and excipients composition can be different depending on the country and manufacturers

Astaph Fas
Betabiotic İtalya
DBL flucloxacillin sodium Avustralya
Flix Türkiye
Floxam Fas
Floxapen Amerika Birleşik Devletleri, Avusturya, Belçika, Fas, Hollanda, İsviçre, İtalya, Polonya, Portekiz, Suudi Arabistan
Flucloxacillin Almanya, Avustralya, Büyük Britanya, İtalya
Flucloxacilline Belçika, Fransa, Hollanda
Flucloxin yeni Zelanda
Ladropen Amerika Birleşik Devletleri
Stafoxil Hollanda
Staphylex Almanya

Stabiliteyi etkileyen faktörler    Enjeksiyon    Stabiliteyi etkileyen faktörler : Flucloxacillin sodium        
Kaynaklar
Çözücü Parenteral beslenme (Lipidler) İndükler Parçalanma 3522
Çözücü Parenteral beslenme (ikili karışım) İndükler Parçalanma 3522
Isı 37°C İndükler Parçalanma 3189
pH pH = 6.5 İndükler Stabilitede artış 3189

  Mentions Légales