Poslední aktualizace :
27/04/2026
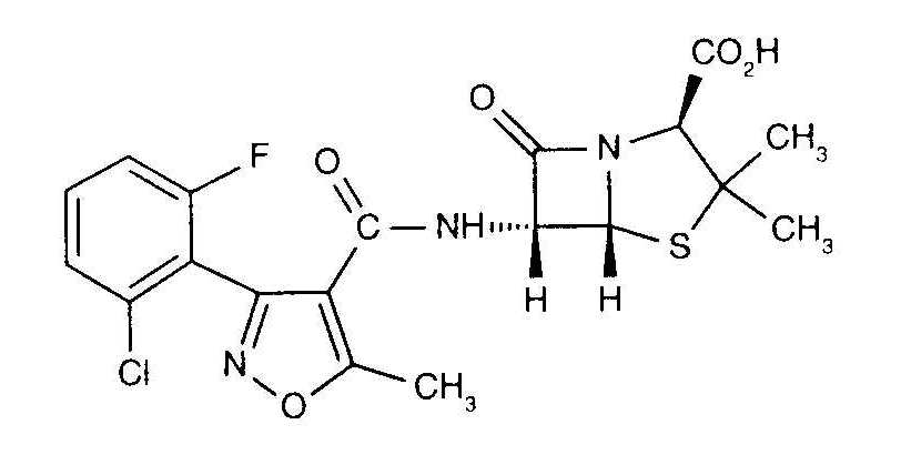
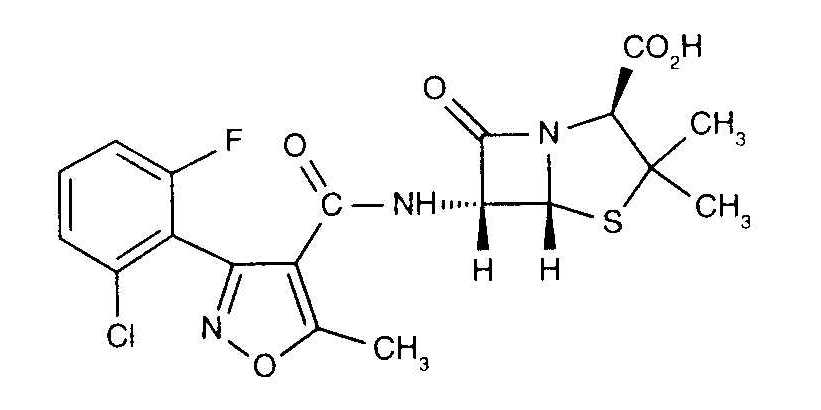
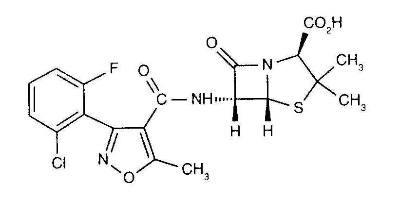
Antibiotikum   Flucloxacillin sodium  
injekce
Stabilita roztoků Stabilita směsí Faktory ovlivňující stabilitu Kompatibilita Způsoby aplikace Odkazy pdf
   Chemický vzorec  

Obchodní název   Obchodní název     

Trade names are indicative and excipients composition can be different depending on the country and manufacturers

Astaph Maroko
Betabiotic Itálie
DBL flucloxacillin sodium Austrálie
Flix Turecko
Floxam Maroko
Floxapen Belgie, Itálie, Maroko, Nizozemsko, Polsko, Portugalsko, Rakousko, Saúdská Arábie, Švýcarsko, USA
Flucloxacillin Austrálie, Itálie, NÏmecko, Velká Británie
Flucloxacilline Belgie, Francie, Nizozemsko
Flucloxin nový Zéland
Ladropen USA
Stafoxil Nizozemsko
Staphylex NÏmecko

Faktory ovlivňující stabilitu   injekce   Faktory ovlivňující stabilitu : Flucloxacillin sodium        
Odkazy
RozpouötÏdlo Parenterální výživa (lipidy) Indukuje Rozklad 3522
RozpouötÏdlo Parenterální výživa (binární směs) Indukuje Rozklad 3522
Teplota 37°C Indukuje Rozklad 3189
pH pH = 6.5 Indukuje Zvýšená stabilita 3189

  Mentions Légales