Last update :
27/04/2026
Antibiotic   Flucloxacillin sodium  
injection
Stability in solutions Stability of mixtures Factors which affect stability Compatibility Route of administration References pdf
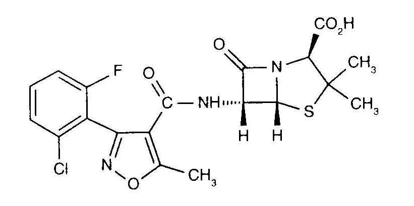
   Chemical structure  

Tradename   Tradename     

Trade names are indicative and excipients composition can be different depending on the country and manufacturers

Astaph Morocco
Betabiotic Italy
DBL flucloxacillin sodium Australia
Flix Turkey
Floxam Morocco
Floxapen Austria, Belgium, Italy, Morocco, Netherlands, Poland, Portugal, Saudi Arabia, Switzerland, United States of America
Flucloxacillin Australia, Germany, Great Britain, Italy
Flucloxacilline Belgium, France, Netherlands
Flucloxin New Zealand
Ladropen United States of America
Stafoxil Netherlands
Staphylex Germany

Factors which affect stability   injection   Factors which affect stability : Flucloxacillin sodium        
References
Solvent Parenteral nutrition (with lipids) Induces Degradation 3522
Solvent Parenteral nutrition (binary mixture) Induces Degradation 3522
Temperature 37°C Induces Degradation 3189
pH pH = 6.5 Induces Enhanced stability 3189

  Mentions Légales