Pēdējā atjaunošana :
27/04/2026
Antibiotika   Flucloxacillin sodium  
Injekcija
Šķīduma stabilitāte Maisījuma stabilitāte Stabilitāti ietekmējoši faktori Saderība Levadīšanas veids Literatūras saraksts pdf
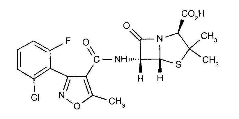
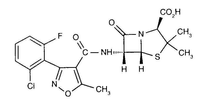
   Ķīmiskā uzbūve   

Oriģinālais nosaukums   Oriģinālais nosaukums     

Tirdzniecības nosaukumi ir apzīmējoši un palīgvielas var atšķirties dažādām valstīm un laboratorijām

Astaph Maroka
Betabiotic Itālija
DBL flucloxacillin sodium Austrālija
Flix Turcija
Floxam Maroka
Floxapen Amerikas Savienotās Valstis, Austrija, Beļģija, Holande, Itālija, Maroka, Polija, Portugāle, Saūda Arābija, Šveice
Flucloxacillin Austrālija, Itālija, Lielbritānija, Vācija
Flucloxacilline Beļģija, Francija, Holande
Flucloxin Jaunzēlande
Ladropen Amerikas Savienotās Valstis
Stafoxil Holande
Staphylex Vācija

Stabilitāti ietekmējoši faktori   Injekcija   Stabilitāti ietekmējoši faktori : Flucloxacillin sodium        
Literatūras saraksts
Šķīdinātājs Parenterāla barošana (ar lipīdiem) Izraisošs Deģenerācija 3522
Šķīdinātājs Parenterāla barošana (lipīdu-free) Izraisošs Deģenerācija 3522
Temperatūra 37°C Izraisošs Deģenerācija 3189
pH pH = 6.5 Izraisošs Uzlabot stabilitāti 3189

  Mentions Légales