Letztes “update” :
27/04/2026
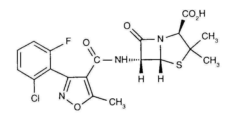
Antibiotikum   Flucloxacillin sodium  
Injektion
Stabilität der Lösung Gemengestabilität Stabilitätbeeinflussende Faktoren Kompatibilitäten Applikationsart Literaturverzeichnis pdf
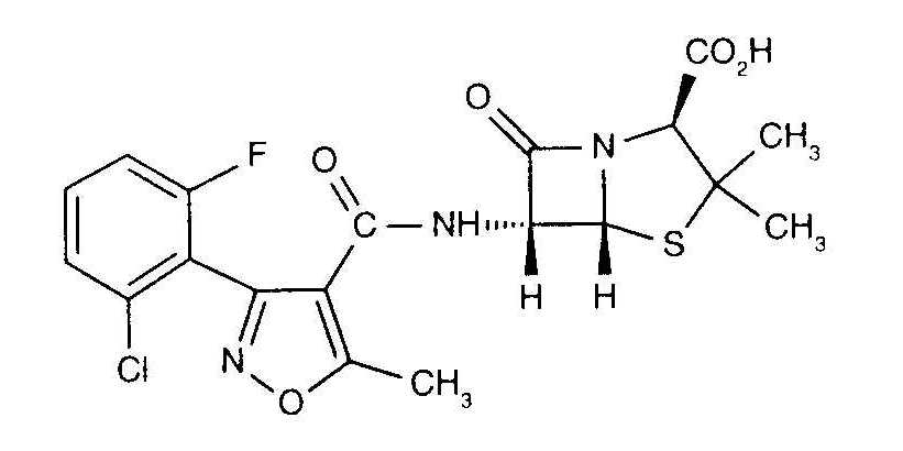
   Chemische Struktur  

Handelsmarke   Handelsmarke     

Handelsnamen sind als beispielhaft anzusehen. Sonstige Bestandteile können je nach Hersteller oder Land verschieden sein

Astaph Marokko
Betabiotic Italien
DBL flucloxacillin sodium Australien
Flix Türkei
Floxam Marokko
Floxapen Belgien, Italien, Marokko, Niederlande, Österreich, Polen, Portugal, Saudi-Arabien, Schweiz, Vereinigte Staaten von Amerika
Flucloxacillin Australien, Deutschland, Großbritannien, Italien
Flucloxacilline Belgien, Frankreich, Niederlande
Flucloxin Neuseeland
Ladropen Vereinigte Staaten von Amerika
Stafoxil Niederlande
Staphylex Deutschland

Stabilitätbeeinflussende Faktoren   Injektion   Stabilitätbeeinflussende Faktoren : Flucloxacillin sodium        
Literaturverzeichnis
Lösungsmittel Parenterale Ernährung (mit Lipiden) Führt zu Degradation 3522
Lösungsmittel Parenterale Ernährung (Lipid-frei) Führt zu Degradation 3522
Temperatur 37°C Führt zu Degradation 3189
pH pH = 6.5 Führt zu Stabilitätssteigerung 3189

  Mentions Légales