viimane versioon :
27/04/2026
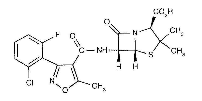
antibiootikum   Flucloxacillin sodium  
Süsteravim
Stabiilsus lahustes Stabiilsust mõjutavad tegurid stabiilsust mõjutavad faktorid Sobimatus Manustamis viis Viited pdf
   keemiline struktuur  

Kaubanduslikud nimed erinevates maades   Kaubanduslikud nimed erinevates maades     

Preparaatide nimed on näitlikud ja abianete sisaldus võib erineda sõltuvalt riigist ja laborist

Astaph Maroko
Betabiotic Itaalia
DBL flucloxacillin sodium Austraalia
Flix Türgi
Floxam Maroko
Floxapen Ameerika ühendriigid, Austria, Belgia, Holland, Itaalia, Maroko, Poola, Portugal, Saudi Araabia, Sveits
Flucloxacillin Austraalia, Itaalia, Saksamaa, Suurbritannia
Flucloxacilline Belgia, Holland, Prantsusmaa
Flucloxin uus-Meremaa
Ladropen Ameerika ühendriigid
Stafoxil Holland
Staphylex Saksamaa

stabiilsust mõjutavad faktorid   Süsteravim   stabiilsust mõjutavad faktorid : Flucloxacillin sodium        
Viited
lahusti Parenteraalse toitmise (lipiidide) indutseerib degradatsioon 3522
lahusti Parenteraalse toitmise (lipiide tasuta) indutseerib degradatsioon 3522
temperatuur 37°C indutseerib degradatsioon 3189
pH pH = 6.5 indutseerib stabiilsuse suurenemine 3189

  Mentions Légales