最新更新 :
27/04/2026
抗生素   Flucloxacillin sodium  
注射液
溶液稳定性 混合物稳定性 影响稳定性的因素 兼容性 用药途径 引用文献 PDF
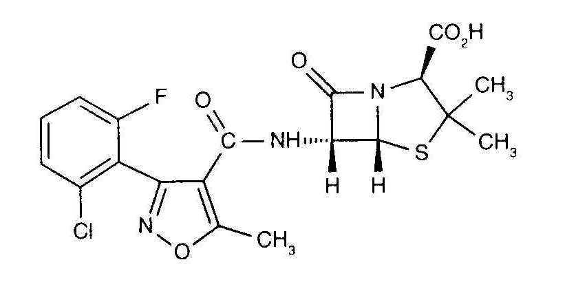
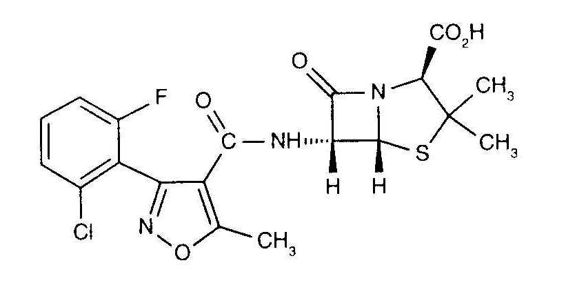
   化学式  

商品名   商品名     

商品名仅供参考, 药品所用的辅料可能依国家或厂商不同有所不同。

Astaph 摩洛哥
Betabiotic 意大利
DBL flucloxacillin sodium 澳大利亚
Flix 土耳其
Floxam 摩洛哥
Floxapen 奥地利, 意大利, 摩洛哥, 比利时, 沙特阿拉伯, 波兰, 瑞士, 美国, 荷兰, 葡萄牙
Flucloxacillin 德国, 意大利, 澳大利亚, 英国
Flucloxacilline 比利时, 法国, 荷兰
Flucloxin 新西蘭
Ladropen 美国
Stafoxil 荷兰
Staphylex 德国

影响稳定性的因素   注射液   影响稳定性的因素 : Flucloxacillin sodium        
引用文献
溶剂 肠外营养(含脂肪) 诱导 分解 3522
溶剂 肠外营养(二种混合物) 诱导 分解 3522
温度 37°C 诱导 分解 3189
PH PH = 6.5 诱导 强化稳定性 3189

  Mentions Légales