Siste oppdatering :
27/04/2026
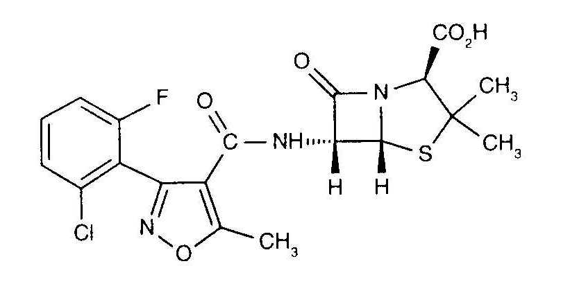
Antibiotika   Flucloxacillin sodium  
Injeksjon
Oppløsningsstabilitet Stabilitet i blandinger Faktorer som påvirker stabiliteten Kompatibilitet Administrasjonsmåte Referanser pdf
   Kjemisk struktur  

Handelsnavn   Handelsnavn     

Handelsnavn er veiledende og sammensetning av hjelpestoffer kan være forskjellig avhengig av land og produsent

Astaph Marokko
Betabiotic Italia
DBL flucloxacillin sodium Australia
Flix Tyrkia
Floxam Marokko
Floxapen Belgia, Italia, Marokko, Nederland, Polen, Portugal, Saudi-Arabia, Sveits, USA, Østerrike
Flucloxacillin Australia, Italia, Storbritannia, Tyskland
Flucloxacilline Belgia, Frankrike, Nederland
Flucloxin New Zealand
Ladropen USA
Stafoxil Nederland
Staphylex Tyskland

Faktorer som påvirker stabiliteten   Injeksjon   Faktorer som påvirker stabiliteten : Flucloxacillin sodium        
Referanser
Oppløsningsmiddel Parenteral ernæring (med lipider) Induserer Degradasjon 3522
Oppløsningsmiddel Parenteral ernæring(lipid-free) Induserer Degradasjon 3522
Temperatur 37°C Induserer Degradasjon 3189
pH pH = 6.5 Induserer Økt stabilitet 3189

  Mentions Légales