Cập nhật lần cuối :
27/11/2025
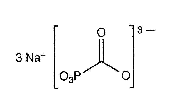
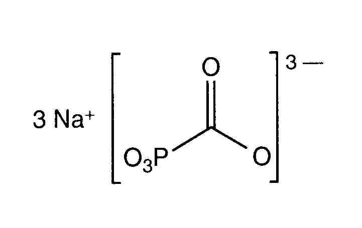
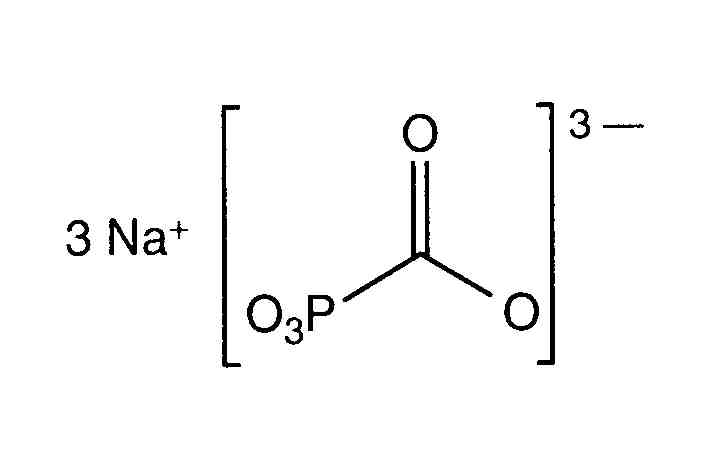
Thuốc kháng virus   Foscarnet sodium  
Dạng tiêm
Tính ổn định của các dung dịch Độ ổn định khi trộn lẫn Những yếu tố ảnh hưởng đến độ ổn định Khả năng tương thích Đường dùng Tài liệu tham khảo Pdf
   Cấu trúc hóa học  

Tên thương mại   Tên thương mại     

Các tên thương mại được cung cấp và thành phần tá dược có thể khác nhau giữa các quốc gia và các hãng dược

Foscarnet Argentina, Bồ Đào Nha, Chile, Colombia, Ecuador, Hoa Kỳ, Mexico, Peru, Tây Ban Nha
Foscavir Anh, Áo, Bỉ, Hà Lan, Hoa Kỳ, Hungary, Hy Lạp, Luxembourg, new zealand, Pháp, Tây Ban Nha, Thụy Sỹ, Thụy Điển, Úc, Ý, Đức
Độ ổn định khi trộn lẫn   Dạng tiêm   Độ ổn định khi trộn lẫn : Foscarnet sodium     
Bao bì Dung môi Nồng độ Phân tử Nhiệt độ Bảo quản Thời gian ổn định Mục lục
Không rõ NaCl 0,9% 12 mg/ml
Dạng tiêm   Foscarnet sodium   
Dạng tiêm   Potassium chloride 20 >> 80 mEq/l
25°C
65 Giờ
Không rõ 246
Cấp độ bằng chứng D

  Mentions Légales