Ultimele actualizari :
27/04/2026
Antiviral   Foscarnet sodium  
Injectabil
Stabilitatea in solutie Stabilitatea in amestec Factorii care influenteaza stabilitatea Compatibilitate Microunde Bibliografie pdf
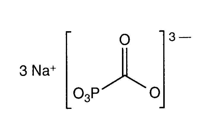
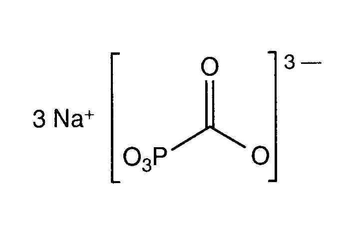
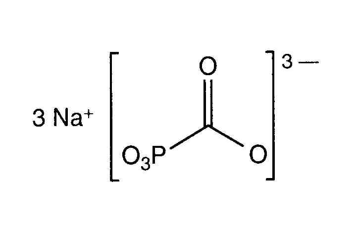
   Formula chimica  

Denumirea comerciala   Denumirea comerciala     

Trade names are indicative and excipients composition can be different depending on the country and manufacturers

Foscarnet Argentina, Chilli, Columbia, Ecuador, Mexic, Peru, Portugalia, Spania, SUA
Foscavir Australia, Austria, Belgia, Elvetia, Franta, Germania, Grecia, Italia, Luxemburg, Marea Britanie, noua Zeelandă, Olanda, Spania, SUA, Suedia, Ungaria
Stabilitatea in amestec   Injectabil   Stabilitatea in amestec : Foscarnet sodium     
Continut Solvent Concentratie Molecula (substanta activa) Temperatura Conservare Durata stabilității Bibiografie
neprecizat clorura de sodiu 0,9% 12 mg/ml
Injectabil   Foscarnet sodium   
Injectabil   Potassium chloride 20 >> 80 mEq/l
25°C
65 Ora
Neprecizat 246
Nivel de evidență D

  Mentions Légales