Última actualização :
27/04/2026
Antiviral   Foscarnet sodium  
injetável
Estabilidade em soluções simples Estabilidade em misturas Factores que afectam a sua estabilidade Compatibilidade Método de administração Bibliografía pdf
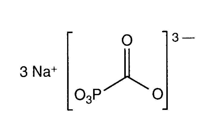
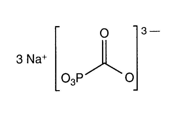
   estrutura química  

Nomes comerciais nos diversos países   Nomes comerciais nos diversos países     

OS NOMES COMERCIAIS SÃO INDICATIVOS E OS EXCIPIENTES DA FORMULAÇÃO PODEM SER DIFERENTES CONFORME O PAÍS E FABRICANTE.

Foscarnet Argentina, Chilli, Colômbia, Equator, Espanha, Estados Unidos de América, México, Peru, Portugal
Foscavir Alemanha, Australia, Austria, Bélgica, Espanha, Estados Unidos de América, França, Gran-bretanha, Grècia, Hungria, Itália, Luxemburgo, nova Zelândia, Países Baixos, Suècia, Suicia
Estabilidade em misturas   injetável   Estabilidade em misturas : Foscarnet sodium     
Embalagem Solvente concentração molécula temperatura conservação Duração da estabilidade Bibliografia
no especificado cloreto de sódio 0,9% 12 mg/ml
injetável   Foscarnet sodium   
injetável   Potassium chloride 20 >> 80 mEq/l
25°C
65 hora
no especificado 246
Nível de evidência D

  Mentions Légales