最新更新 :
27/04/2026
抗ウイルス薬   Foscarnet sodium  
注射薬
溶媒内の安定性 混合時の安定性 安定性に影響する因子 互換性 投与経路 引用文献 PDF
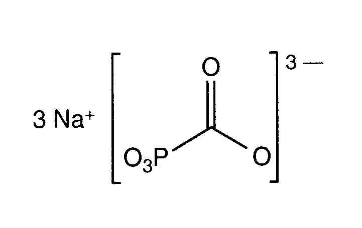
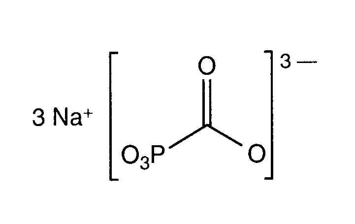
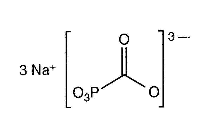
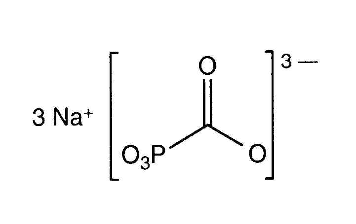
   化学構造  

商品名   商品名     

商品名、賦形剤は国、製薬会社ごとに異なることがあります

Foscarnet アメリカ, アルゼンチン, エクアドル, コロンビア, スペイン, チリ, ペルー, ポルトガル, メキシコ
Foscavir アメリカ, アーストラリア, イギリス, イタリア, オランダ, オーストリア, ギリシア, スイス, スウェーデン, スペイン, ドイツ, ニュージーランド, ハンガリー, フランス, ベルギー, ルクセンブルグ
混合時の安定性   注射薬   混合時の安定性 : Foscarnet sodium     
容器 溶媒 濃度 化合物 温度 保管 安定期間 引用文献
指定なし NaCl 0,9% 12 mg/ml
注射薬   Foscarnet sodium   
注射薬   Potassium chloride 20 >> 80 mEq/l
25°C
65 時間
特記なし 246
エビデンスレベル D

  Mentions Légales