Останнє оновлення :
27/11/2025
Противірусні ліки   Foscarnet sodium  
ін'єкція
Стійкість в розчинах Стійкість сумішей Фактори, що впливають на стабільність Сумісність Шлях введення Список літератури pdf
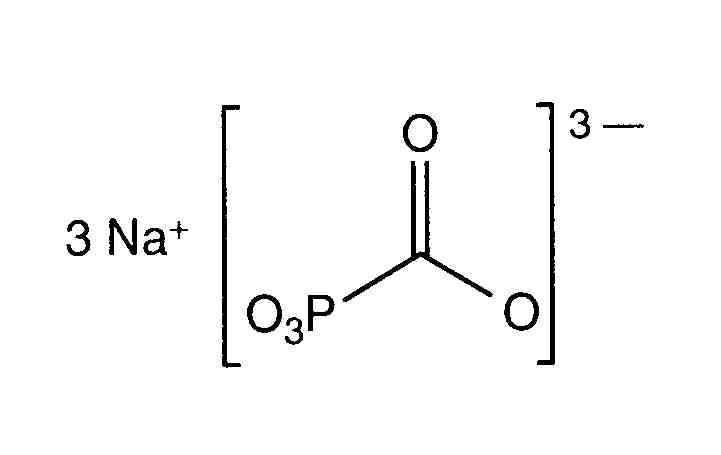
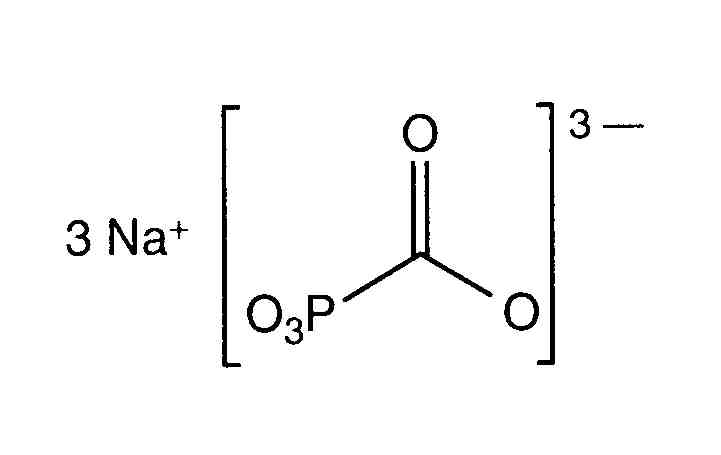
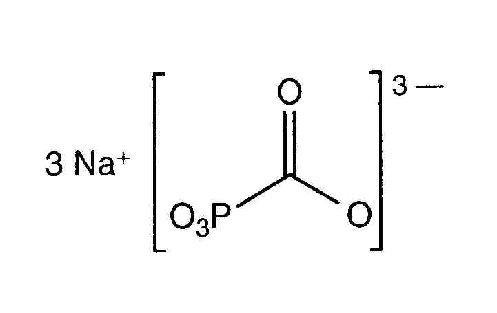
   Хімічна структура  

Торгова назва   Торгова назва     

Торгові назви є орієнтовними, а склад допоміжних речовин може бути різним залежно від країни та виробника

Foscarnet Іспанія, Аргентина, Еквадор, Колумбія, Мексика, Перу, Португалія, Сполучені Штати Америки, Чилі
Foscavir Іспанія, Італія, Австрія, Австралія, Бельгія, Великобританія, Греція, Люксембург, Нідерланди, Німеччина, Нова Зеландія, Сполучені Штати Америки, Угорщина, Франція, Швейцарія, Швеція
Стійкість сумішей   ін'єкція   Стійкість сумішей : Foscarnet sodium     
Контейнер Розчинник Концентрація З'єднання температура Зберігання Тривалість стабільності Список літератури
Не визначено Натрію хлорид 0,9% 12 mg/ml
ін'єкція   Foscarnet sodium   
ін'єкція   Potassium chloride 20 >> 80 mEq/l
25°C
65 годину
Не визначено 246
Рівень доказовості D

  Mentions Légales