Senaste uppdateringen :
27/11/2025
Antiviralt medel   Foscarnet sodium  
injektion
Lösningars stabilitet Stabilitet i blandningar Faktorer som påverkar stabiliteten Kompatibilitet Administreringssätt Hänvisningar pdf
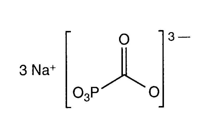
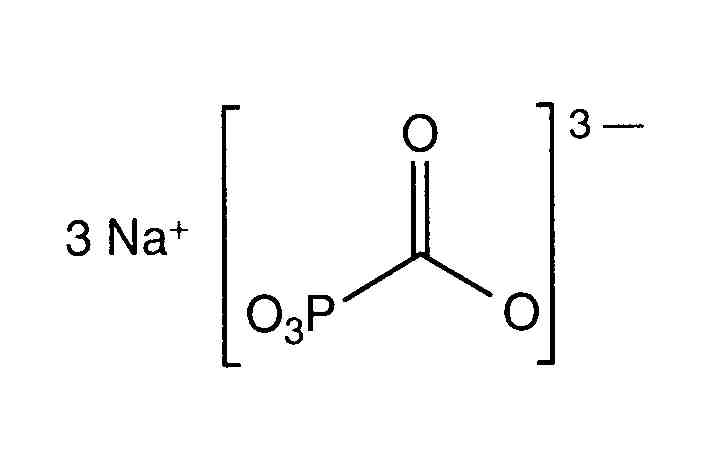
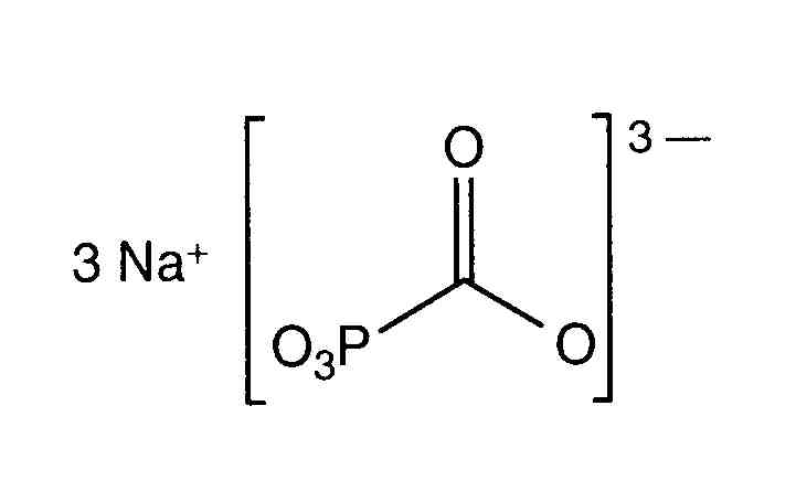
   Molekylstruktur  

Varunamn   Varunamn     

Angivna handelsnamn på läkemedel är enbart vägledande då formulering inklusive hjälpämnen kan variera mellan länder och tillverkare

Foscarnet Argentina, Chile, Colombia, Ecuador, Förenta Staterna, Mexiko, Peru, Portugal, Spanien
Foscavir Australien, Belgien, Förenta Staterna, Frankrike, Grekland, Italien, Luxemburg, Nederländerna, nya Zeeland, Österrike, Schweiz, Spanien, Storbritannien, Sverige, Tyskland, Ungern
Stabilitet i blandningar   injektion   Stabilitet i blandningar : Foscarnet sodium     
Behållare Lösningsmedel Koncentration Substans Temperatur Förvaring Stabilitets varaktighet Hänvisningar
Ej angiven Natriumklorid 0,9 % 12 mg/ml
injektion   Foscarnet sodium   
injektion   Potassium chloride 20 >> 80 mEq/l
25°C
65 Timma
Ej angiven 246
Evidensnivå D

  Mentions Légales