Последнее обновление :
27/11/2025
Противовирусное средство   Foscarnet sodium  
Инъекция
Стабильность растворов Стабильность смесей Факторы, которые влияют на стабильность Совместимость Способы введения Библиография pdf
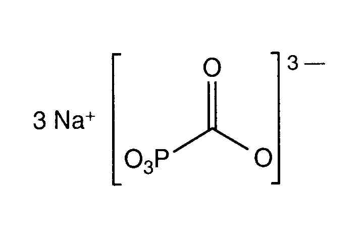
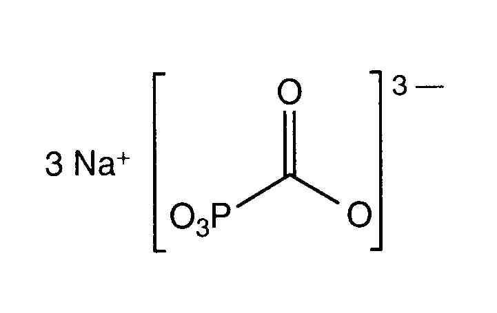
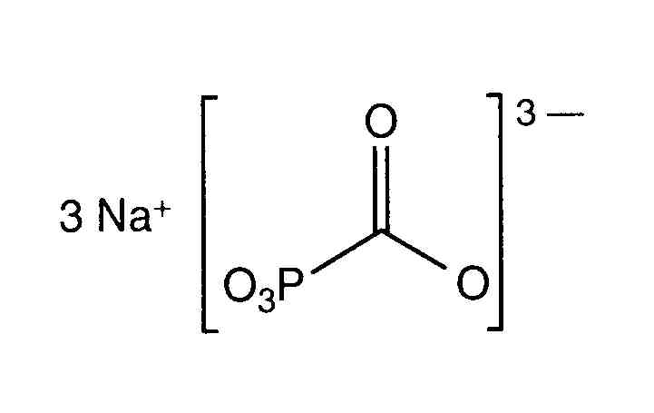
   Химическая структура  

Товарное название   Товарное название     

Trade names are indicative and excipients composition can be different depending on the country and manufacturers

Foscarnet Аргентина, Испания, Колумбия, Мексика, Перу, Португалия, Соединённые Штаты Америки, чили, Эквадор
Foscavir Австралия, Австрия, Бельгия, Великобритания, Венгрия, Германия, Голландия, Греция, Испания, Италия, Люксембург, новая Зеландия, Соединённые Штаты Америки, Франция, Швейцария, Швеция
Стабильность смесей   Инъекция   Стабильность смесей : Foscarnet sodium     
Упаковка Растворитель Концентрация Молекула Температура Хранение Продолжительность стабильности Ссылки
Не указано Натрия хлорид 0,9% 12 mg/ml
Инъекция   Foscarnet sodium   
Инъекция   Potassium chloride 20 >> 80 mEq/l
25°C
65 Час
Не указано 246
Уровень доказательности D

  Mentions Légales