Posledná aktualizácia :
27/11/2025
antivirotikum   Foscarnet sodium  
Injekcia
Stabilita roztokov Stabilita v zmesiach Faktory ovplyvňujúce stabilitu Kompatibility spôsob podania Odkazy na literatúru PDF
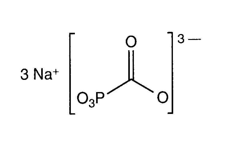
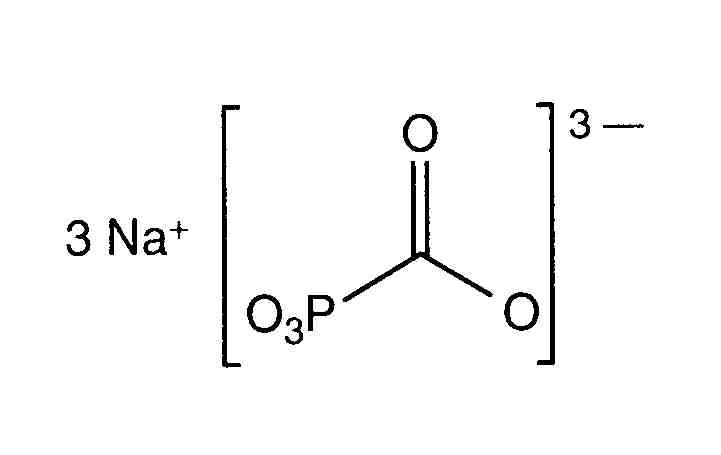
   Chemický vzorec  

Obchodný názov   Obchodný názov     

Obchodné názvy sú orientačné, a zloženie pomocných látok sa môže líšiť v závislosti od krajiny a výrobcu.

Foscarnet Argentína, Čile, Ekvádor, Kolumbia, Mexiko, peru, Portugalsko, Španielsko, Spojené štáty Americké
Foscavir Austrália, Belgicko, Francúzsko, Grécko, Holandsko, Luxembursko, Maďarsko, Nemecko, nový Zéland, Rakúsko, Španielsko, Spojené štáty Americké, Švajčiarsko, Švédsko, Taliansko, Veľká Británia
spôsob podania   spôsob podania :Foscarnet sodium     
Voie
intravenózna infúzia

  Mentions Légales