Poslední aktualizace :
27/04/2026
Priešvirusinis vaistas   Foscarnet sodium  
Įpurškimas
Tirpalų stabilumas Mišinių stabilumas Stabilumą lemiantys veiksniai Suderinamumas Leidimo būdai Bibliografija pdf
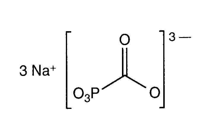
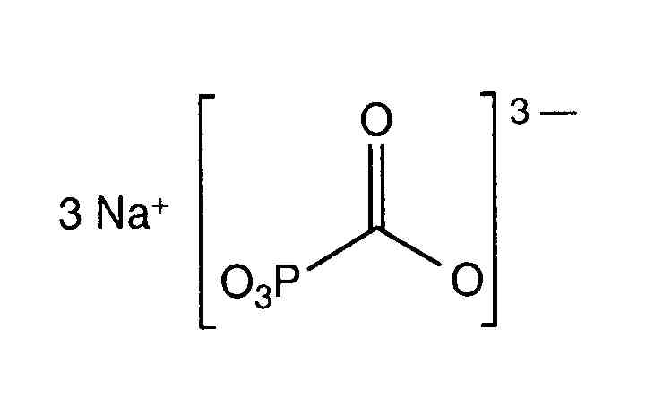
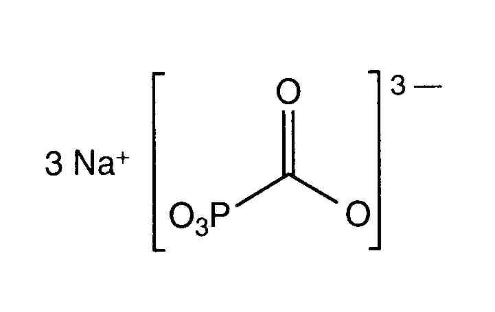
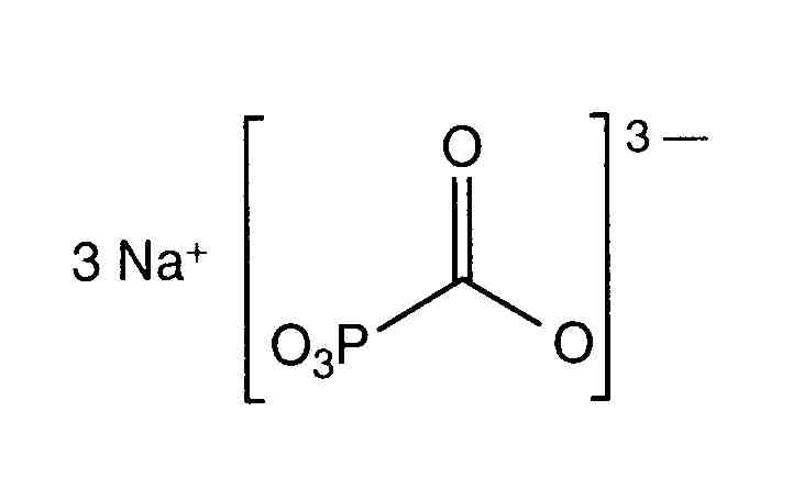
   Cheminė sandara  

Prekinis pavadinimas   Prekinis pavadinimas     

Trade names are indicative and excipients composition can be different depending on the country and manufacturers

Foscarnet Argentina, Čilė, Ekvadoras, Ispanija, Jungtinės Amerikos Valstijos, Kolumbija, Meksikas, Peru, Portugalija
Foscavir Australija, Austrija, Belgija, Didžioji Britanija, Graikija, Ispanija, Italija, Jungtinės Amerikos Valstijos, Liuksemburgas, Naujojoje Zelandijoje, Olandija, Prancūzija, Švedija, Šveicarija, Vengrija, Vokietija
Leidimo būdai   Leidimo būdai :Foscarnet sodium     
Voie
Intraveninė infuzija

  Mentions Légales