Pēdējā atjaunošana :
27/04/2026
Pretvīrusu līdzeklis   Foscarnet sodium  
Injekcija
Šķīduma stabilitāte Maisījuma stabilitāte Stabilitāti ietekmējoši faktori Saderība Levadīšanas veids Literatūras saraksts pdf
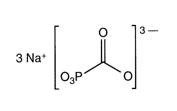
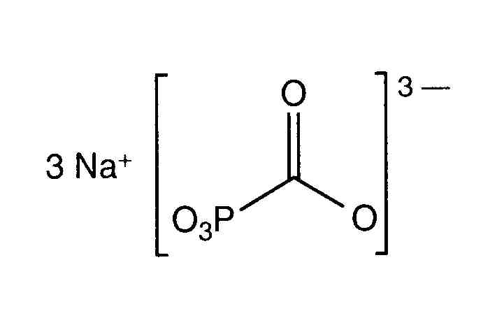
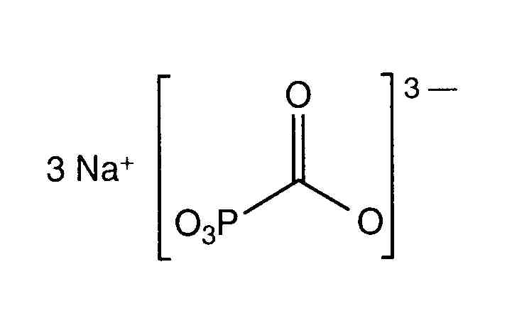
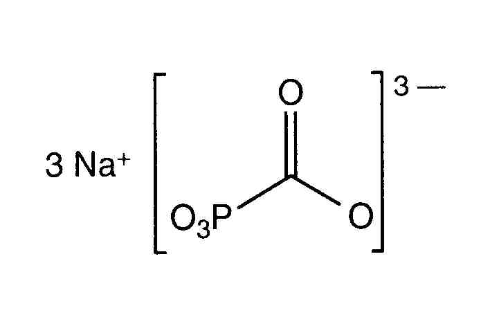
   Ķīmiskā uzbūve   

Oriģinālais nosaukums   Oriģinālais nosaukums     

Tirdzniecības nosaukumi ir apzīmējoši un palīgvielas var atšķirties dažādām valstīm un laboratorijām

Foscarnet Amerikas Savienotās Valstis, Argentīna, Čīle, Ekvadora, Kolumbija, Meksika, Peru, Portugāle, Spānija
Foscavir Amerikas Savienotās Valstis, Austrālija, Austrija, Beļģija, Francija, Grieķija, Holande, Itālija, Jaunzēlande, Lielbritānija, Luksemburga, Spānija, Šveice, Ungārija, Vācija, Zviedrija
Levadīšanas veids   Levadīšanas veids :Foscarnet sodium     
Voie
Intravenoza infūzija

  Mentions Légales