Viimeisin päivitys :
27/04/2026
Viruslääkkeet   Foscarnet sodium  
Injektioneste
Stabilius liuoksessa Stabilius seoksissa Tekijät, jotka vaikuttavat stabiliuteen Yhteensopivuus Antotapa Viitteet pdf
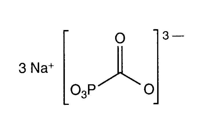
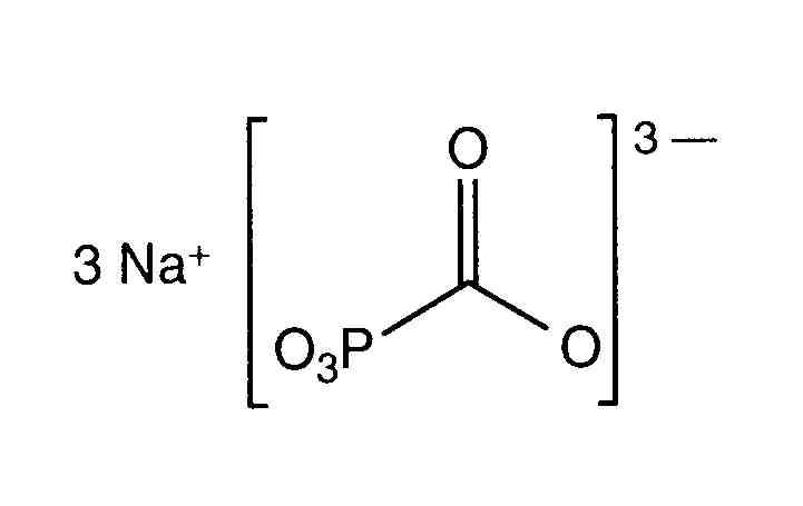
   Kemiallinen rakenne  

Kauppanimi   Kauppanimi     

Trade names are indicative and excipients composition can be different depending on the country and manufacturers

Foscarnet Argentiina, Chile, Ecuador, Espanja, Kolumbia, Marokko, Meksiko, Portugali, Yhdysvallat
Foscavir Australia, Belgia, Espanja, Hollanti, Iso-Britannia, Italia, Itävalta, Kreikka, Luxemburg, New Zealand, Ranska, Ruotsi, Saksa, Sveitsi, Unkari, Yhdysvallat
Antotapa   Antotapa :Foscarnet sodium     
Voie
Intravenoosi-infuusio

  Mentions Légales