Last update :
27/04/2026
Antiviral   Foscarnet sodium  
injection
Stability in solutions Stability of mixtures Factors which affect stability Compatibility Route of administration References pdf
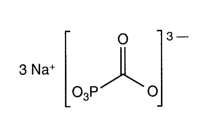
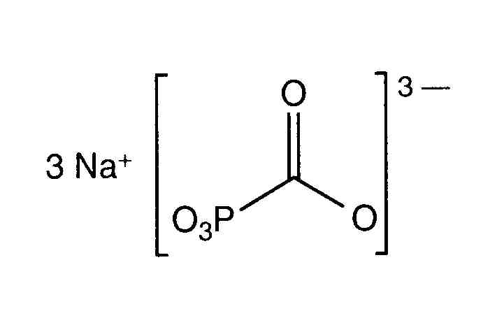
   Chemical structure  

Tradename   Tradename     

Trade names are indicative and excipients composition can be different depending on the country and manufacturers

Foscarnet Argentina, Chile, Colombia, Ecuador, Mexico, Peru, Portugal, Spain, United States of America
Foscavir Australia, Austria, Belgium, France, Germany, Great Britain, Greece, Hungary, Italy, Luxembourg, Netherlands, New Zealand, Spain, Sweden, Switzerland, United States of America
Route of administration   Route of administration :Foscarnet sodium     
Route
Intravenous infusion

  Mentions Légales