Ostatnia aktualizacja :
27/04/2026
Lek przeciwwirusowy   Foscarnet sodium  
Injekcje
Trwałość roztworów Trwałość w mieszaninie Czynnik wpływający na trwałość Zgodność Sposób podania Bibliografia pdf
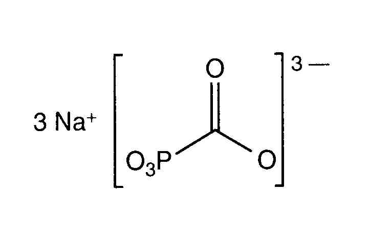
   Struktura chemiczna  

Nazwa handlowa   Nazwa handlowa     

Trade names are indicative and excipients composition can be different depending on the country and manufacturers

Foscarnet Argentyna, Chile, Ekwador, Hiszpania, KolumbiaKolumbia, Meksyk, Peru, Portugalia, Stany Zjednoczone Ameryki
Foscavir Australia, Austria, Belgia, Francja , Grecja, Hiszpania, Holandia, Luksemburg, Niemcy, nowa Zelandia, Stany Zjednoczone Ameryki, Szwajcaria, Szwecja, Węgry, Wielka Brytania, Włochy
Sposób podania   Sposób podania :Foscarnet sodium     
Voie
Wlew dożylny

  Mentions Légales