Zadnji put ažurirano :
27/04/2026
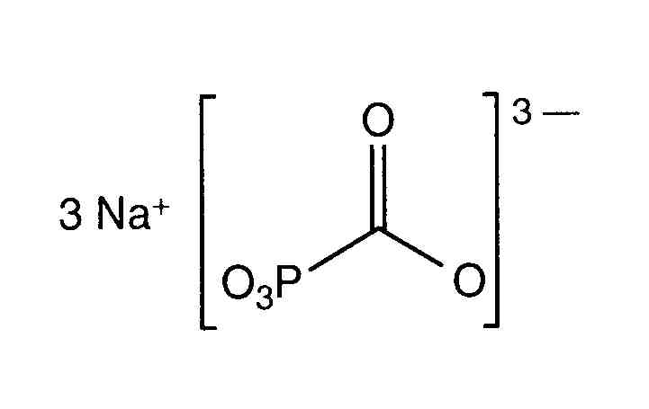
protuvirusan   Foscarnet sodium  
injekcija
Stabilizacija rješenja Stabilnost mješavine Stabilizacijski faktor Kompatibilnosti način davanja lijeka Bibliografija pdf
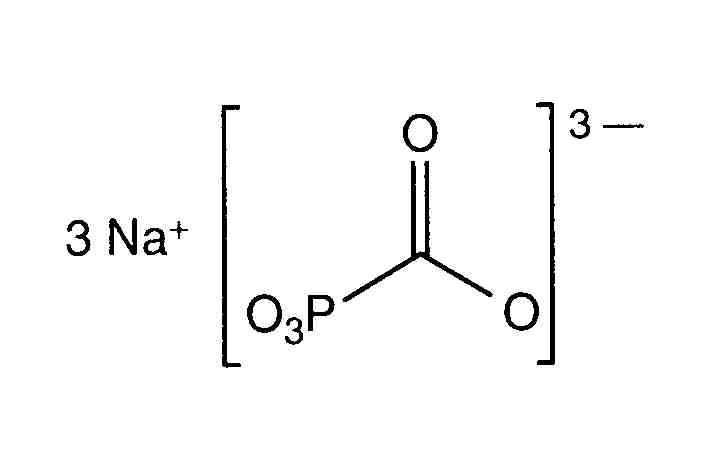
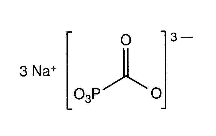
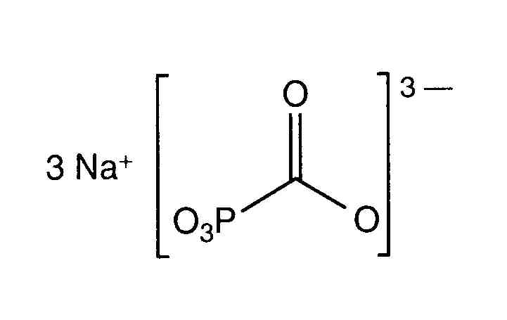
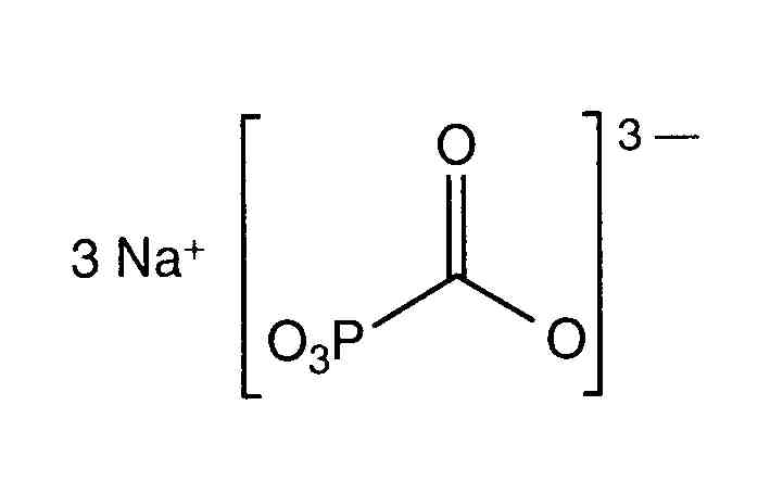
   Kemijska struktura  

Nekomercijalni   Nekomercijalni     

Zaštićeni nazivi su indikativni i sastav ekscipijensa može biti različit ovisno o državi i laboratorijima

Foscarnet Argentina, Čile, Ekvador, Kolumbija, Meksiko, Peru, Portugal, S A D, Španjolska
Foscavir Australija, Austrija, Belgija, Francuska, Grčka, Italija, Luksemburg, Madžarska, Nizozemska, Njemačka, novi Zeland, S A D, Španjolska, Švedska, Švicarska, Velika Britanija
način davanja lijeka   način davanja lijeka :Foscarnet sodium     
Voie
intravenozna infuzija

  Mentions Légales