Останнє оновлення :
27/01/2026
Кардіотонічну   Digoxin  
ін'єкція
Стійкість в розчинах Стійкість сумішей Фактори, що впливають на стабільність Сумісність Шлях введення Список літератури pdf
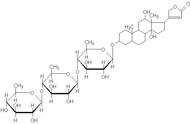
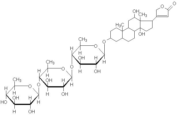
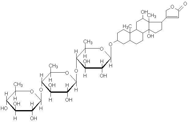
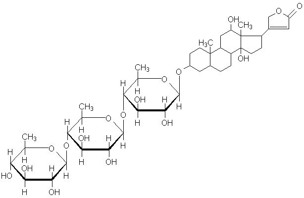
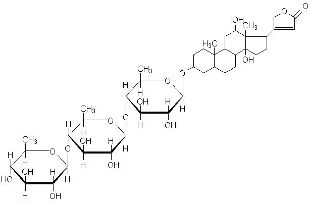
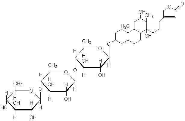
   Хімічна структура  

Торгова назва   Торгова назва     

Торгові назви є орієнтовними, а склад допоміжних речовин може бути різним залежно від країни та виробника

Cardixin Єгипет
Celoxin Індія
Digibind Нова Зеландія, Сполучені Штати Америки
Digocard Аргентина, Еквадор
Digosin Японія
Digoxin Іран, Аргентина, Великобританія, Данія, Еквадор, Канада, Польща, Сполучені Штати Америки, Угорщина, Фінляндія, Швеція
Digoxina Іспанія, Аргентина, Венесуела, Еквадор, Мексика
Digoxine Греція, Франція, Швейцарія
Geoxin Індія
Lanibos Саудівська Аравія
Lanicor Німеччина
Lanoxin Єгипет, Іран, Ірландія, Італія, Бельгія, Великобританія, Люксембург, Малайзія, Нідерланди, Нова Зеландія, Норвегія, Об'єднані Арабські Емірати, Португалія, Саудівська Аравія, Сполучені Штати Америки, Чилі
Loxinan Мексика
Стійкість сумішей   ін'єкція   Стійкість сумішей : Digoxin     
Контейнер Розчинник Концентрація З'єднання температура Зберігання Тривалість стабільності Список літератури
скло Глюкоза 5% 125 µg/ml
ін'єкція   Digoxin   
ін'єкція   Milrinone lactate 0,1 mg/ml
22°C-23°C
4 годину
світло 191
Рівень доказовості А
скло Глюкоза 5% 50 µg/ml
ін'єкція   Digoxin   
ін'єкція   Milrinone lactate 0,35 mg/ml
22°C-23°C
4 годину
світло 191
Рівень доказовості А

  Mentions Légales