Son güncelleme :
27/01/2026
Kardiyotonik   Digoxin  
Enjeksiyon
Çözeltilerin stabilitesi Karışımlardaki stabilitesi Stabiliteyi etkileyen faktörler Uyumluluk Uygulama yöntemi Kaynaklar pdf
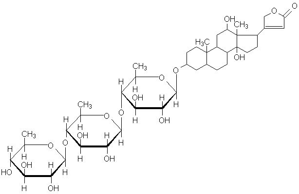
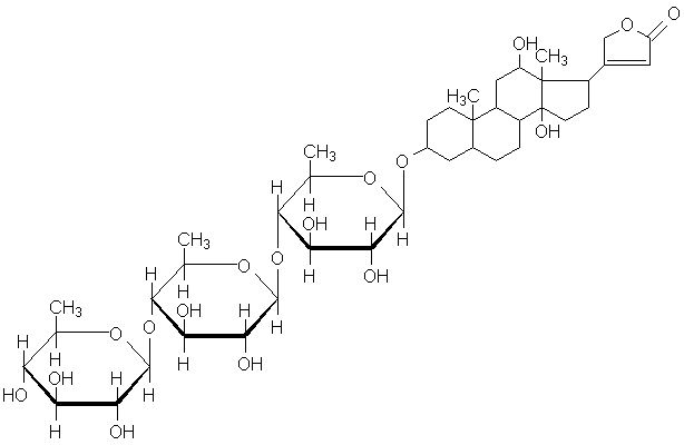
   Kimyasal yapı   

Ticari isim   Ticari isim     

Trade names are indicative and excipients composition can be different depending on the country and manufacturers

Cardixin Mısır
Celoxin Hindistan
Digibind Amerika Birleşik Devletleri, yeni Zelanda
Digocard Arjantin, Ekvador
Digosin Japonya
Digoxin Amerika Birleşik Devletleri, Arjantin, Büyük Britanya, Danimarka, Ekvador, Finlandiya, İran, İsveç, Kanada, Macaristan, Polonya
Digoxina Arjantin, Ekvador, İspanya, Meksika, Venezuela
Digoxine Fransa, İsviçre, Yunanistan
Geoxin Hindistan
Lanibos Suudi Arabistan
Lanicor Almanya
Lanoxin Amerika Birleşik Devletleri, Belçika, Birleşik Arap Emirlikleri, Büyük Britanya, Hollanda, İran, İrlanda, İtalya, Lüksemburg, Malezya, Mısır, Norveç, Portekiz, Şili, Suudi Arabistan, yeni Zelanda
Loxinan Meksika
Karışımlardaki stabilitesi   Enjeksiyon    Karışımlardaki stabilitesi : Digoxin     
Saklama kabı Çözücü Konsantrasyon Bileşik Isı Saklama    Stabilite süresi Kaynaklar
Cam Glukoz %5 125 µg/ml
Enjeksiyon   Digoxin   
Enjeksiyon   Milrinone lactate 0,1 mg/ml
22°C-23°C
4 Zaman
I_ık 191
Kanıt düzeyi A
Cam Glukoz %5 50 µg/ml
Enjeksiyon   Digoxin   
Enjeksiyon   Milrinone lactate 0,35 mg/ml
22°C-23°C
4 Zaman
I_ık 191
Kanıt düzeyi A

  Mentions Légales