Last update :
27/01/2026
Cardiotonic   Digoxin  
injection
Stability in solutions Stability of mixtures Factors which affect stability Compatibility Route of administration References pdf
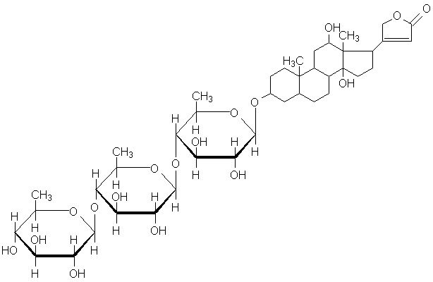
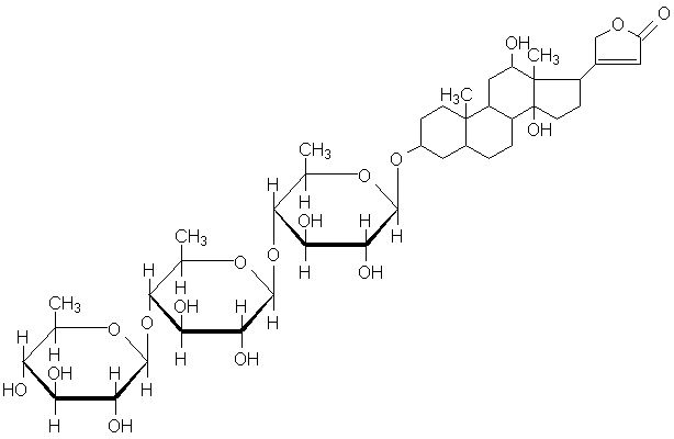
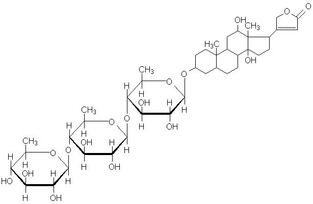
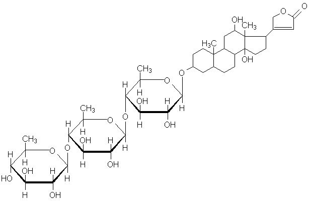
   Chemical structure  

Tradename   Tradename     

Trade names are indicative and excipients composition can be different depending on the country and manufacturers

Cardixin Egypt
Celoxin India
Digibind New Zealand, United States of America
Digocard Argentina, Ecuador
Digosin Japan
Digoxin Argentina, Canada, Denmark, Ecuador, Finland, Great Britain, Hungary, Iran, Poland, Sweden, United States of America
Digoxina Argentina, Ecuador, Mexico, Spain, Venezuela
Digoxine France, Greece, Switzerland
Geoxin India
Lanibos Saudi Arabia
Lanicor Germany
Lanoxin Belgium, Chile, Egypt, Great Britain, Iran, Ireland, Italy, Luxembourg, Malaysia, Netherlands, New Zealand, Norway, Portugal, Saudi Arabia, United Arab Emirates, United States of America
Loxinan Mexico
Stability of mixtures   injection   Stability of mixtures : Digoxin     
Container Solvent Concentration Compound Temperature Storage Duration of stability References
Glass Glucose 5% 125 µg/ml
injection   Digoxin   
injection   Milrinone lactate 0,1 mg/ml
22°C-23°C
4 Hour
Light 191
Level of evidence A
Glass Glucose 5% 50 µg/ml
injection   Digoxin   
injection   Milrinone lactate 0,35 mg/ml
22°C-23°C
4 Hour
Light 191
Level of evidence A

  Mentions Légales