Ultimele actualizari :
27/01/2026
Cardiotonic   Digoxin  
Injectabil
Stabilitatea in solutie Stabilitatea in amestec Factorii care influenteaza stabilitatea Compatibilitate Microunde Bibliografie pdf
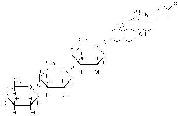
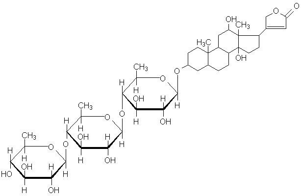
   Formula chimica  

Denumirea comerciala   Denumirea comerciala     

Trade names are indicative and excipients composition can be different depending on the country and manufacturers

Cardixin Egipt
Celoxin India
Digibind noua Zeelandă, SUA
Digocard Argentina, Ecuador
Digosin Japonia
Digoxin Argentina, Canada, Danemarca, Ecuador, Finlanda, Iran, Marea Britanie, Polonia, SUA, Suedia, Ungaria
Digoxina Argentina, Ecuador, Mexic, Spania, Venezuela
Digoxine Elvetia, Franta, Grecia
Geoxin India
Lanibos Arabia Saudita
Lanicor Germania
Lanoxin Arabia Saudita, Belgia, Chilli, Egipt, Emiratele Arabe Unite, Iran, Irlanda, Italia, Luxemburg, Malaezia, Marea Britanie, Norvegia, noua Zeelandă, Olanda, Portugalia, SUA
Loxinan Mexic
Stabilitatea in amestec   Injectabil   Stabilitatea in amestec : Digoxin     
Continut Solvent Concentratie Molecula (substanta activa) Temperatura Conservare Durata stabilității Bibiografie
sticla Glucoza 5% 125 µg/ml
Injectabil   Digoxin   
Injectabil   Milrinone lactate 0,1 mg/ml
22°C-23°C
4 Ora
Lumina 191
Nivel de evidență A
sticla Glucoza 5% 50 µg/ml
Injectabil   Digoxin   
Injectabil   Milrinone lactate 0,35 mg/ml
22°C-23°C
4 Ora
Lumina 191
Nivel de evidență A

  Mentions Légales