Última actualización :
27/01/2026
Cardiotónico   Digoxin  
Inyectables
Estabilidad en solucion Estabilidad en mezcla Factores que influyen sobre la estabilidad Compatibilidades método de inyección Bibliografía pdf
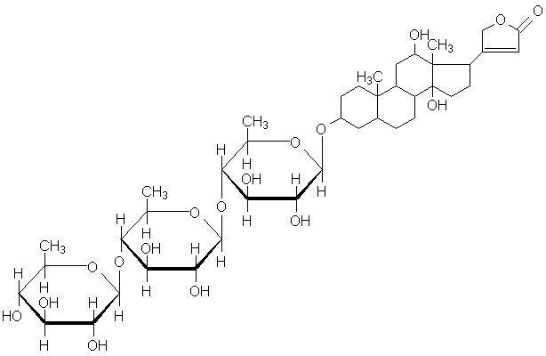
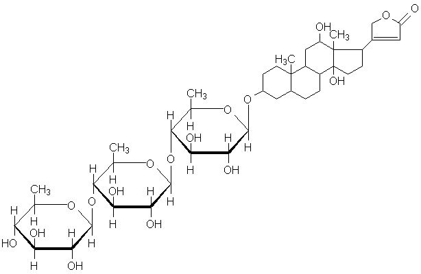
   Estructura química  

Nombre comercial   Nombre comercial     

Los nombres comerciales son orientativos y los excipientes de la formulación pueden ser distintos dependiendo del país y del laboratorio fabricante.

Cardixin Egipto
Celoxin India
Digibind Estados Unidos de América, Nueva Zelanda
Digocard Argentina, Ecuador
Digosin Japón
Digoxin Argentina, Canadá, Dinamarca, Ecuador, Estados Unidos de América, Finlandia, Gran Bretaña, Hungría, Irán, Polonia, Suecia
Digoxina Argentina, Ecuador, España, México, Venezuela
Digoxine Francia, Grecia, Suiza
Geoxin India
Lanibos Arabia Saudita
Lanicor Alemania
Lanoxin Arabia Saudita, Bélgica, Chile, Egipto, Emiratos Árabes Unidos, Estados Unidos de América, Gran Bretaña, Irán, Irlanda, Italia, Luxemburgo, Malasia, Noruega, Nueva Zelanda, Países Bajos, Portugal
Loxinan México
Estabilidad en mezcla   Inyectables   Estabilidad en mezcla : Digoxin     
Envase Solvente Concentración Molécula Temperatura Conservación Duración de la estabilidad Bibliografía
Vidrio Glucosa 5% 125 µg/ml
Inyectables   Digoxin   
Inyectables   Milrinone lactate 0,1 mg/ml
22°C-23°C
4 Hora
Luz 191
Nivel de evidencia A
Vidrio Glucosa 5% 50 µg/ml
Inyectables   Digoxin   
Inyectables   Milrinone lactate 0,35 mg/ml
22°C-23°C
4 Hora
Luz 191
Nivel de evidencia A

  Mentions Légales