viimane versioon :
27/01/2026
Kardiotooniline ravim   Digoxin  
Süsteravim
Stabiilsus lahustes Stabiilsust mõjutavad tegurid stabiilsust mõjutavad faktorid Sobimatus Manustamis viis Viited pdf
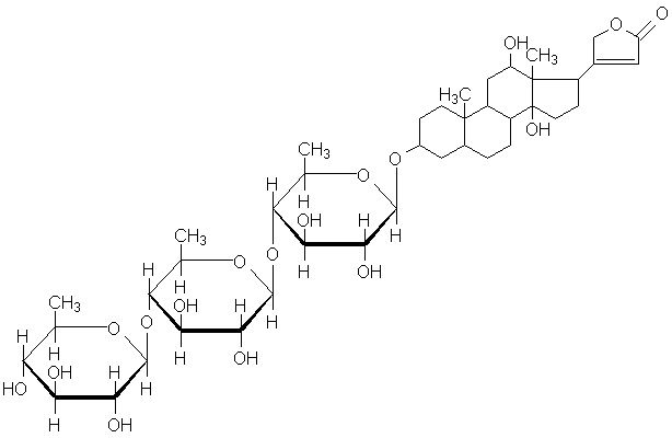
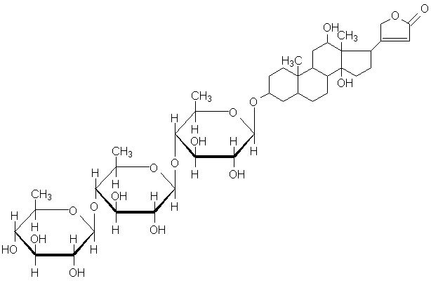
   keemiline struktuur  

Kaubanduslikud nimed erinevates maades   Kaubanduslikud nimed erinevates maades     

Preparaatide nimed on näitlikud ja abianete sisaldus võib erineda sõltuvalt riigist ja laborist

Cardixin Egiptus
Celoxin India
Digibind Ameerika ühendriigid, uus-Meremaa
Digocard Argentiina, Ecuador
Digosin Jaapan
Digoxin Ameerika ühendriigid, Argentiina, Ecuador, Iraan, Kanada, Poola, Rootsi, Soome, Suurbritannia, Taani, Ungari
Digoxina Argentiina, Ecuador, Hispaania, Mehhiko, Venetsueela
Digoxine Kreeka, Prantsusmaa, Sveits
Geoxin India
Lanibos Saudi Araabia
Lanicor Saksamaa
Lanoxin Ameerika ühendriigid, Araabia Ühendemiraadid, Belgia, Egiptus, Holland, Iirimaa, Iraan, Itaalia, Luksemburg, Malaisia, Norra, Portugal, Saudi Araabia, Suurbritannia, Tšiili, uus-Meremaa
Loxinan Mehhiko
Stabiilsust mõjutavad tegurid   Süsteravim   Stabiilsust mõjutavad tegurid : Digoxin     
konteiner lahusti kontsentratsioon ingredient temperatuur ladustamine Stabiilsuse kestus Viited
klaas glükoos 5% 125 µg/ml
Süsteravim   Digoxin   
Süsteravim   Milrinone lactate 0,1 mg/ml
22°C-23°C
4 Tund
valgus 191
Tõenduspõhisuse tase A
klaas glükoos 5% 50 µg/ml
Süsteravim   Digoxin   
Süsteravim   Milrinone lactate 0,35 mg/ml
22°C-23°C
4 Tund
valgus 191
Tõenduspõhisuse tase A

  Mentions Légales