آخر تحديث :
27/01/2026
مقوي القلب   Digoxin  
حقن
الاستقرار في حلول استقرار مخاليط العوامل التي تؤثر على الاستقرار التوافق طريقة التعاطي مراجع pdf
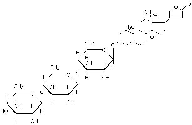
   التركيب الكيميائي  

حجز الاسم التجاري   حجز الاسم التجاري     

تحذير الأسماء التجاريه المختلفه قد تحتوي علي محتوي إضافات مختلفة حسب الدوله و المعمل

Cardixin مصر
Celoxin الهند
Digibind الولايات المتحدة, زيلاندا الجديدة
Digocard الأرجنتين, الإكوادور
Digosin اليابان
Digoxin إيران, الأرجنتين, الإكوادور, الدنمارك, السويد, الولايات المتحدة, بريطانيا العظمي, بولندا, فنلندا, كندا, هنغاريا
Digoxina إسبانيا, الأرجنتين, الإكوادور, المكسيك, فنزويلا
Digoxine سويسرا, فرنسا, يونان
Geoxin الهند
Lanibos العربية السعودية
Lanicor ألمانيا
Lanoxin إيران, إيطاليا, الإمارات العربية المتحدة, البرتغال, العربية السعودية, النرويج, الولايات المتحدة, ايرلندا, بريطانيا العظمي, بلجيكا, تشيلي, زيلاندا الجديدة, لوكسمبورغ, ماليزيا, مصر, هولندا
Loxinan المكسيك
استقرار مخاليط   حقن   استقرار مخاليط : Digoxin     
حاوية مذيب تركيز مركب درجة الحرارة تخزين مدة الاستقرار مراجع
زجاج الجلوكوز %5 125 µg/ml
حقن   Digoxin   
حقن   Milrinone lactate 0,1 mg/ml
22°C-23°C
4 ساعة
ضوء 191
A مستوى الأدلة
زجاج الجلوكوز %5 50 µg/ml
حقن   Digoxin   
حقن   Milrinone lactate 0,35 mg/ml
22°C-23°C
4 ساعة
ضوء 191
A مستوى الأدلة

  Mentions Légales