Poslední aktualizace :
18/03/2026
Kardiotonikum   Digoxin  
injekce
Stabilita roztoků Stabilita směsí Faktory ovlivňující stabilitu Kompatibilita Způsoby aplikace Odkazy pdf
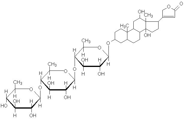
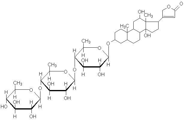
   Chemický vzorec  

Obchodní název   Obchodní název     

Trade names are indicative and excipients composition can be different depending on the country and manufacturers

Cardixin Egypt
Celoxin Indie
Digibind nový Zéland, USA
Digocard Argentina, Ekvádor
Digosin Japonsko
Digoxin Argentina, Dánsko, Ekvádor, Finsko, Írán, Kanada, MaÔarsko, Polsko, Švédsko, USA, Velká Británie
Digoxina äpanÏlsko, Argentina, Ekvádor, Mexiko, Venezuela
Digoxine Francie, Švýcarsko, ÿecko
Geoxin Indie
Lanibos Saúdská Arábie
Lanicor NÏmecko
Lanoxin Belgie, Chile, Egypt, Írán, Irsko, Itálie, Lucembursko, Malajsie, Nizozemsko, Norsko, nový Zéland, Portugalsko, Saúdská Arábie, Spojené arabské emiráty, USA, Velká Británie
Loxinan Mexiko
Stabilita směsí   injekce   Stabilita směsí : Digoxin     
Obal RozpouötÏdlo Koncentrace SlouËenina Teplota Uchovávání Trvání stability Odkazy
Sklo GlukÛza 5% 125 µg/ml
injekce   Digoxin   
injekce   Milrinone lactate 0,1 mg/ml
22°C-23°C
4 Hodina
SvÏtlo 191
Úroveň zkoušky A
Sklo GlukÛza 5% 50 µg/ml
injekce   Digoxin   
injekce   Milrinone lactate 0,35 mg/ml
22°C-23°C
4 Hodina
SvÏtlo 191
Úroveň zkoušky A

  Mentions Légales