Cập nhật lần cuối :
27/04/2026
Kháng sinh   Dapsone  
Dạng bôi da
Dung dịch uống
Tính ổn định của các chế phẩm Độ ổn định khi trộn lẫn Những yếu tố ảnh hưởng đến độ ổn định Khả năng tương thích Tài liệu tham khảo Pdf
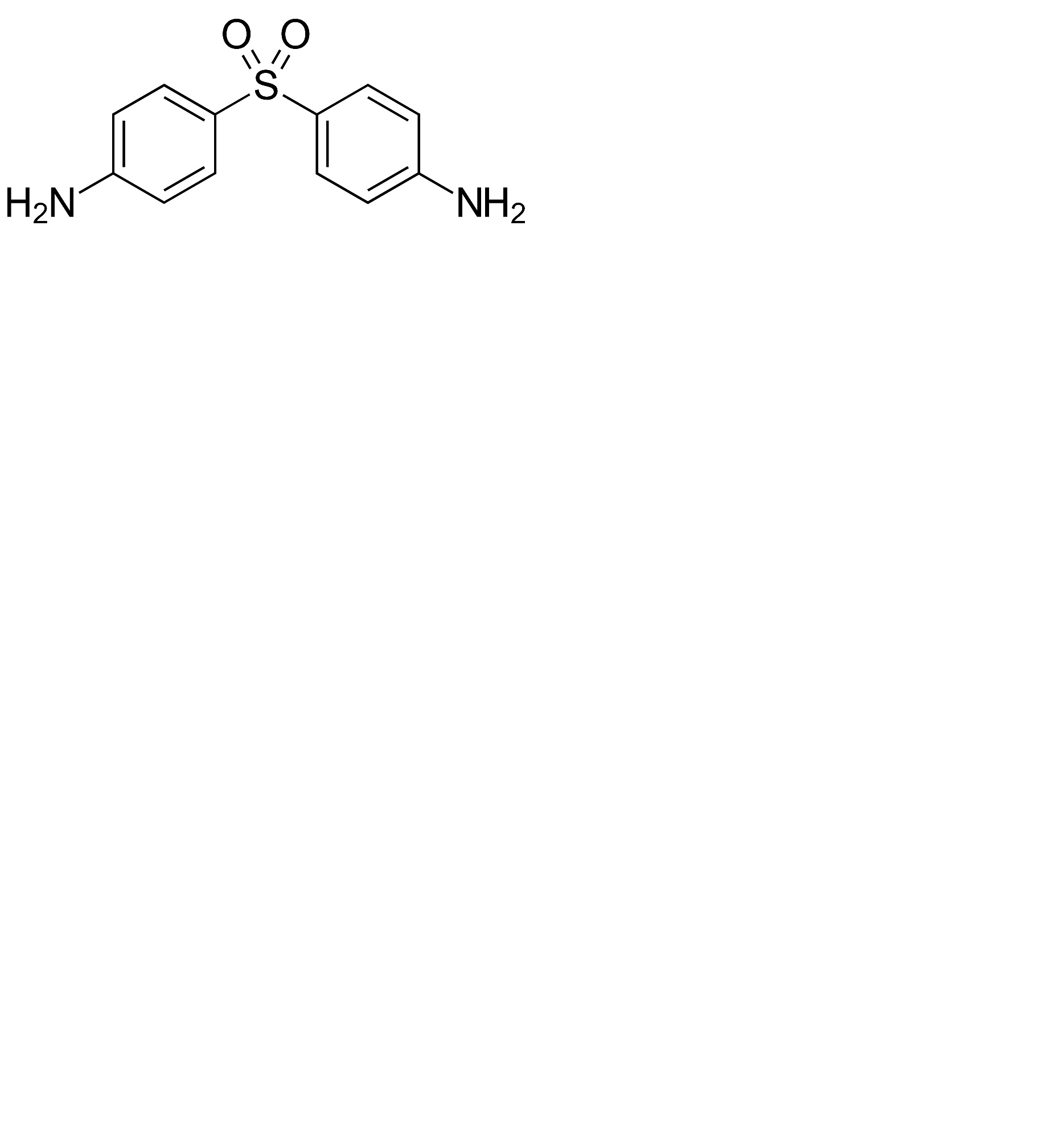
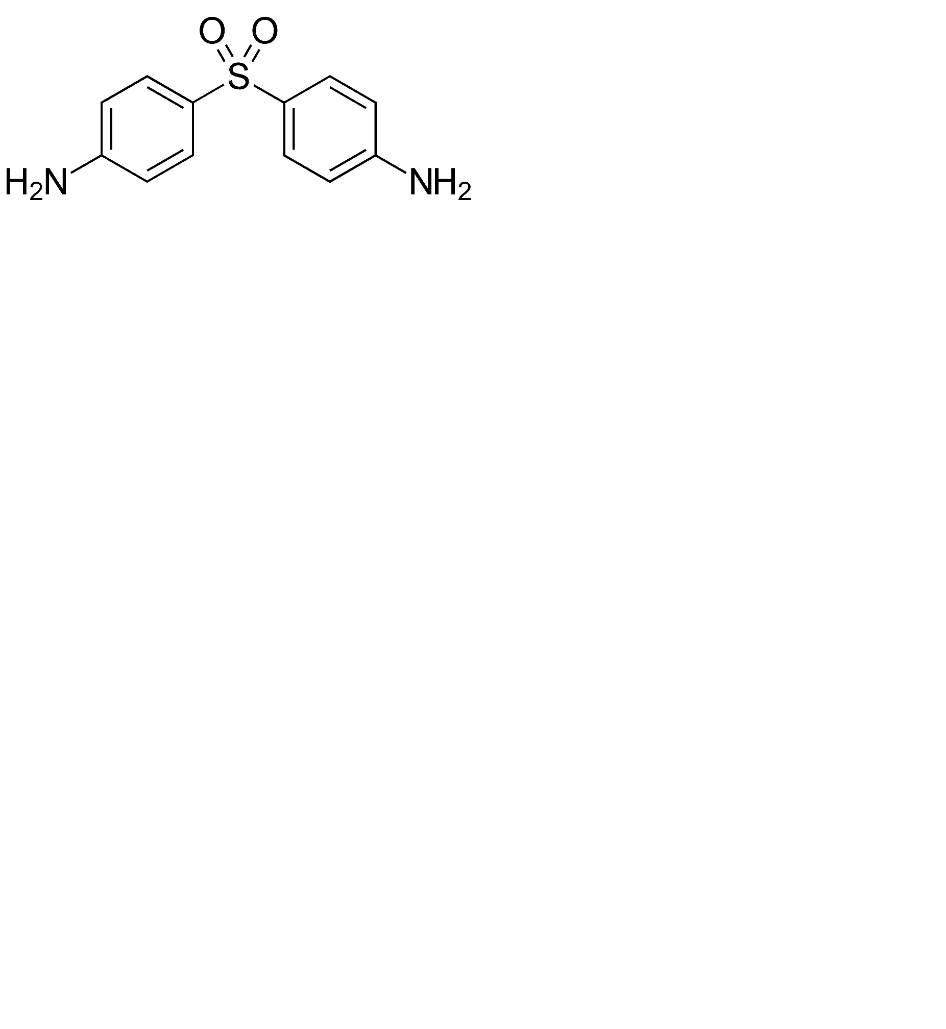
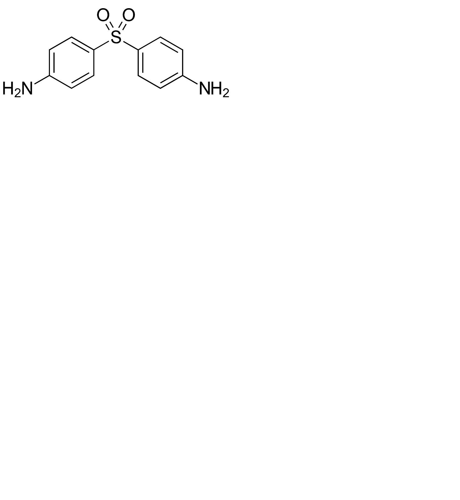
   Cấu trúc hóa học  

Dạng bôi da
Tính ổn định của các chế phẩm   Dạng bôi da   Tính ổn định của các chế phẩm : Dapsone     
Bao bì Nguyên bản Tá dược Nhiệt độ Bảo quản Thời gian ổn định Mục lục
Lọ nhựa Bột 2000 mg
® = ?
Cleoderm® >> 40 g
15-30°C Tránh ánh sáng
180 Ngày
4879
Lọ nhựa Bột 4000 mg
® = ?
Cleoderm® >> 40 g
15-30°C Tránh ánh sáng
180 Ngày
4879

  Mentions Légales