Viimeisin päivitys :
18/03/2026
Antibiootit   Dapsone  
Salvat
Oraaliliuos
Vakaus lääkevalmisteen Stabilius seoksissa Tekijät, jotka vaikuttavat stabiliuteen Yhteensopivuus Viitteet pdf
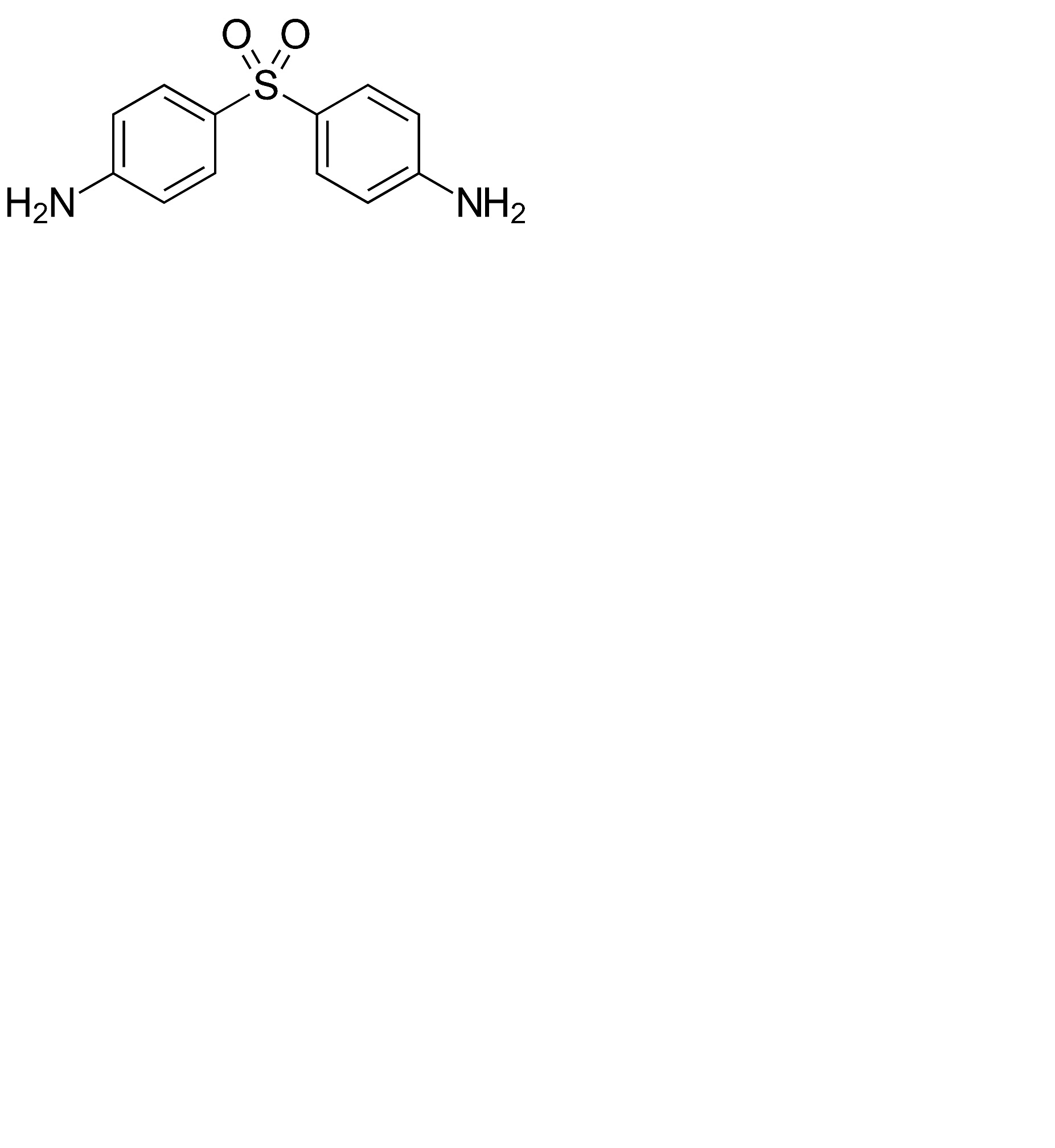
   Kemiallinen rakenne  

Salvat
Vakaus lääkevalmisteen   Salvat   Vakaus lääkevalmisteen : Dapsone     
Astia Origine Apuaine Lämpötila Säilytys Vakauden kesto Viitteet
Muovipullo Jauhe 2000 mg
® = ?
Cleoderm® >> 40 g
15-30°C Suojattava valolta
180 Päivä
4879
Muovipullo Jauhe 4000 mg
® = ?
Cleoderm® >> 40 g
15-30°C Suojattava valolta
180 Päivä
4879

  Mentions Légales