Τελευταία ενημέρωση :
18/03/2026
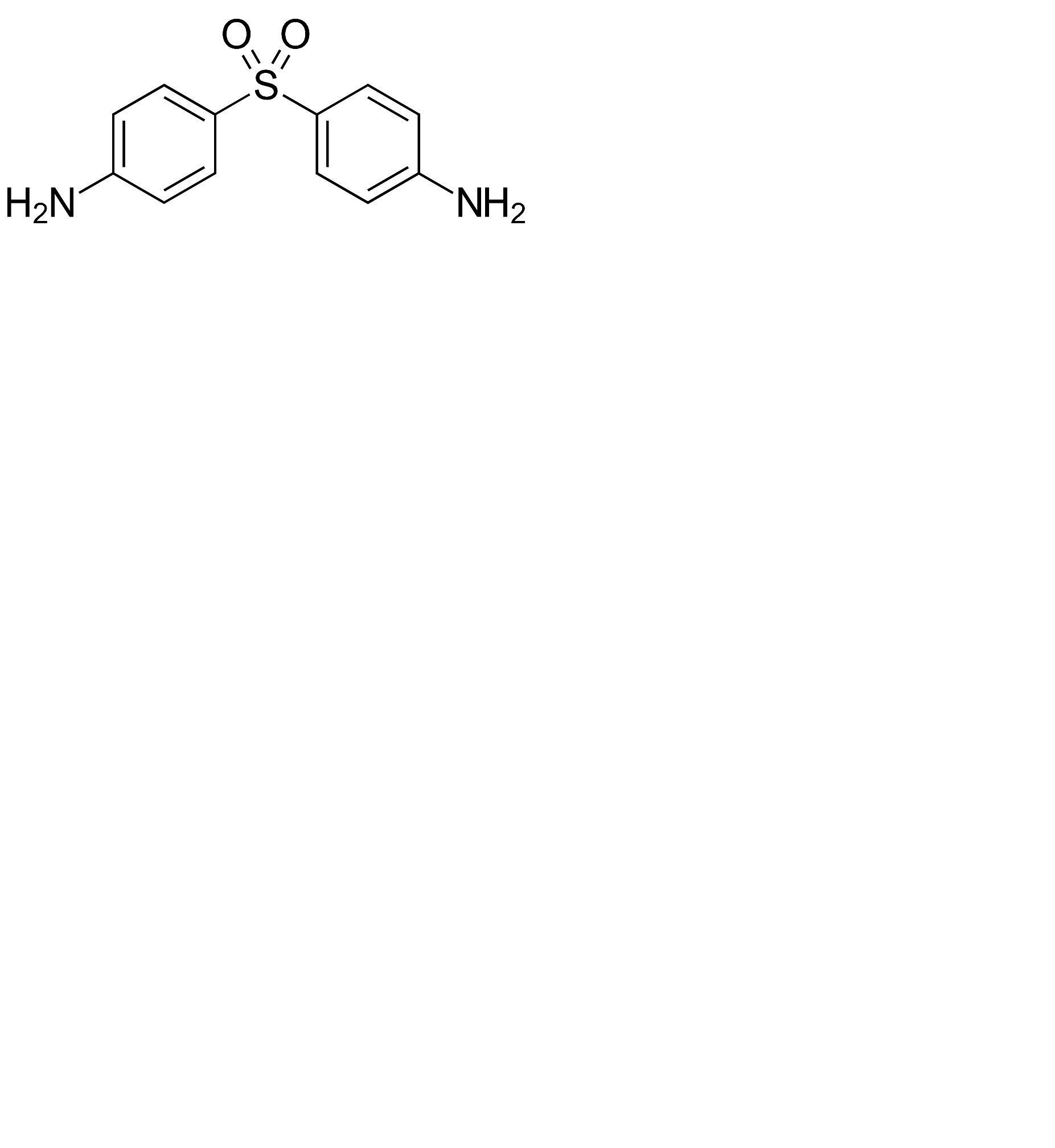
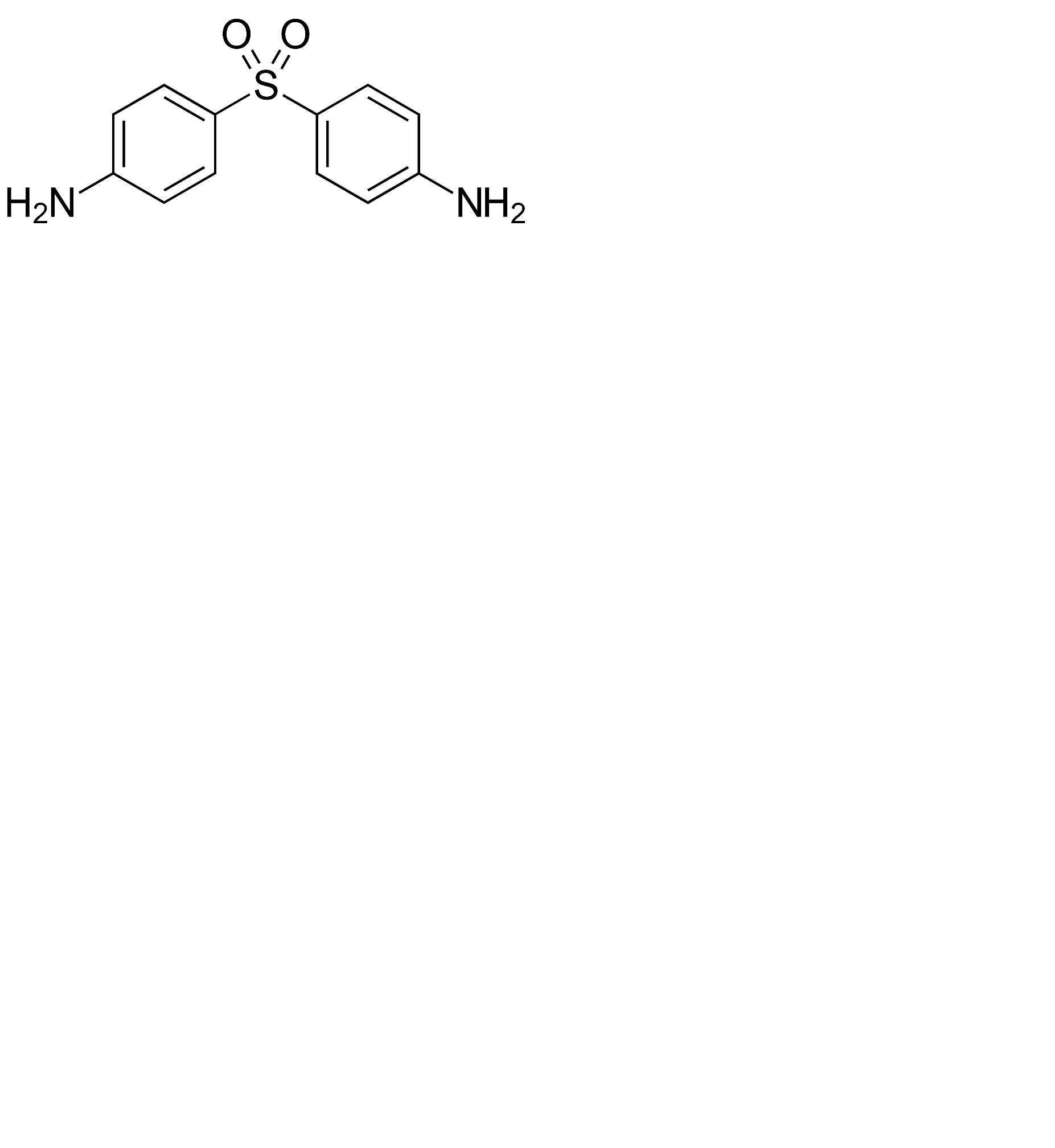
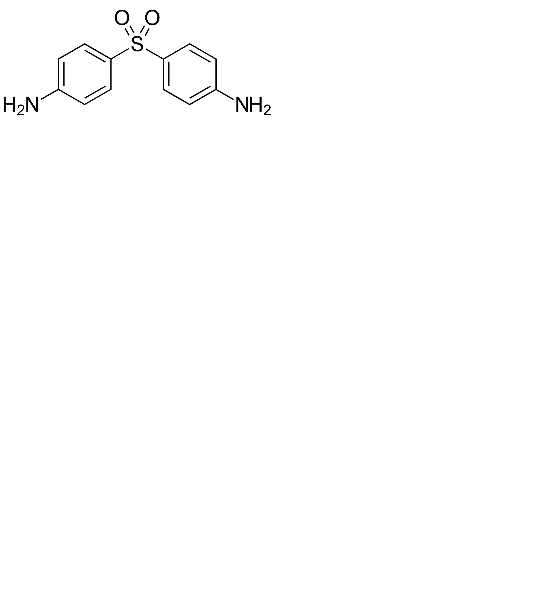
Αντιβιοτικό   Dapsone  
Αλοιφές
Πόσιμο διάλυμα
Σταθερότητα και συμβατότητα των φαρμάκων Σταθερότητα σε μίγματα Παράγοντας που επηρεάζει τη σταθερότητα Συμβατότητες Βιβλιογραφία pdf
   χημική δομή  

Αλοιφές
Σταθερότητα και συμβατότητα των φαρμάκων   Αλοιφές   Σταθερότητα και συμβατότητα των φαρμάκων : Dapsone     
Υποδοχέας Origine Έκδοχο Θερμοκρασία Αποθήκευση Διάρκεια σταθερότητας Βιβλιογραφία
Πλαστικό μπουκάλι Σκόνη 2000 mg
® = ?
Cleoderm® >> 40 g
15-30°C Προστατεύετε από το φως
180 Ημέρα
4879
Πλαστικό μπουκάλι Σκόνη 4000 mg
® = ?
Cleoderm® >> 40 g
15-30°C Προστατεύετε από το φως
180 Ημέρα
4879

  Mentions Légales