Siste oppdatering :
27/04/2026
Antibiotika   Dapsone  
Salver
Mikstur
Stabilitet av farmasøytiske preparater Stabilitet i blandinger Faktorer som påvirker stabiliteten Kompatibilitet Referanser pdf
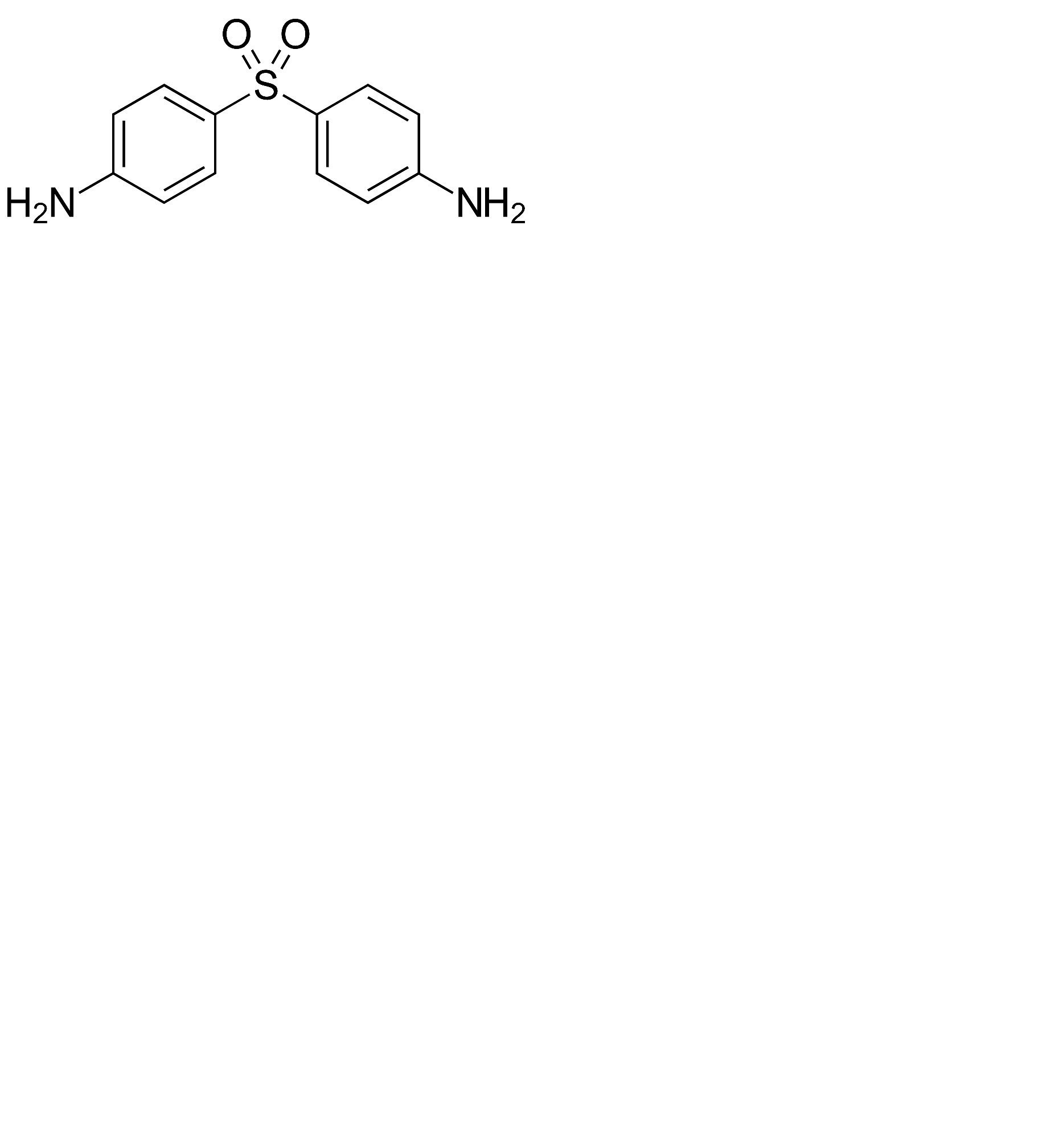
   Kjemisk struktur  

Salver
Stabilitet av farmasøytiske preparater   Salver   Stabilitet av farmasøytiske preparater : Dapsone     
Beholder Origine Hjelpestoff Temperatur Oppbevaring Varighet av stabilitet Referanser
Plastflaske Pulver 2000 mg
® = ?
Cleoderm® >> 40 g
15-30°C Beskyttes mot lys
180 Dag
4879
Plastflaske Pulver 4000 mg
® = ?
Cleoderm® >> 40 g
15-30°C Beskyttes mot lys
180 Dag
4879

  Mentions Légales