Zadnji put ažurirano :
27/01/2026
antibiotik   Dapsone  
masti
oralna otopina
Stabilnost farmaceutskih pripravaka Stabilnost mješavine Stabilizacijski faktor Kompatibilnosti Bibliografija pdf
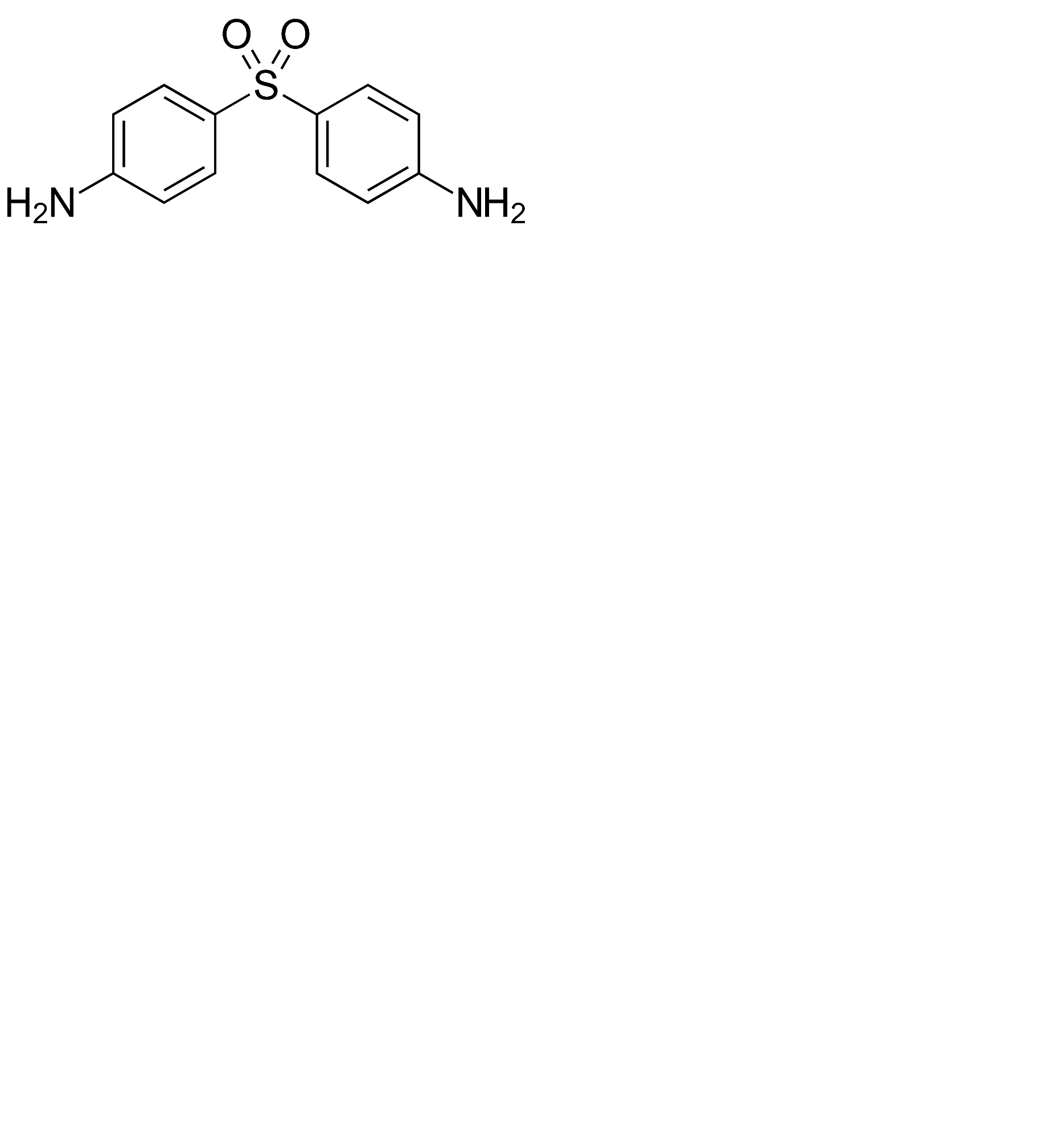
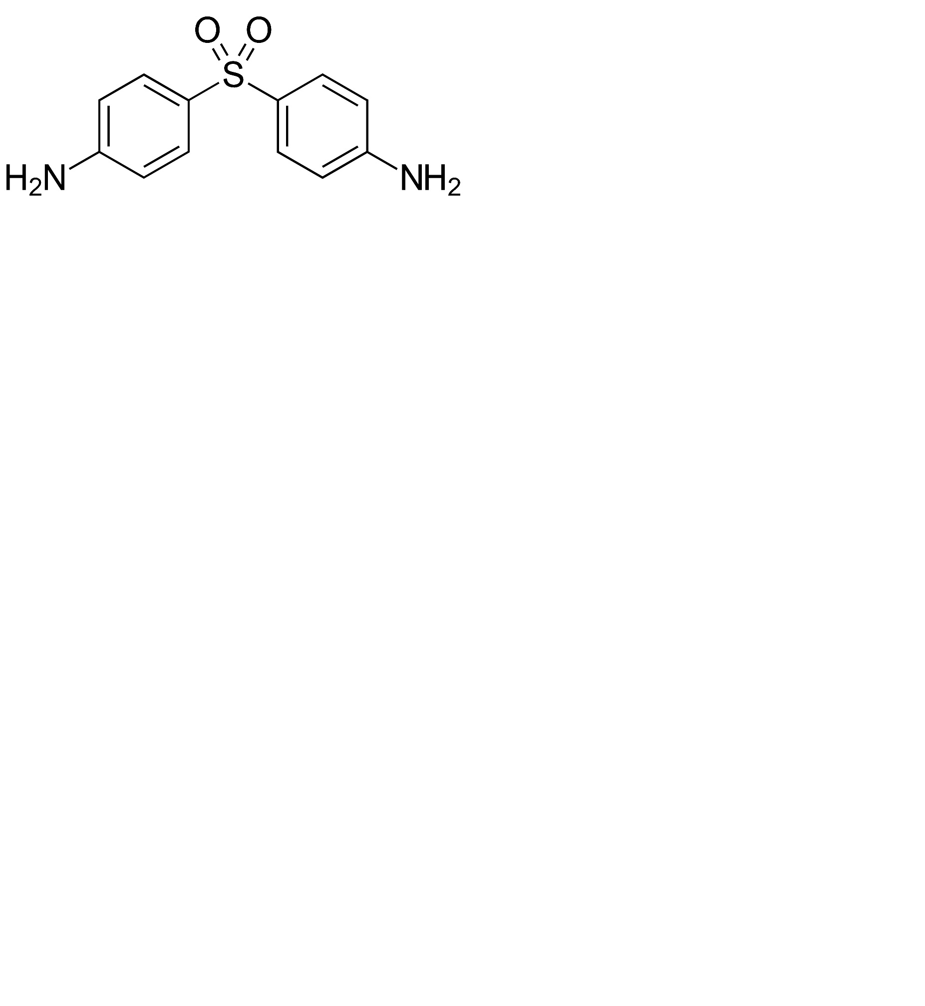
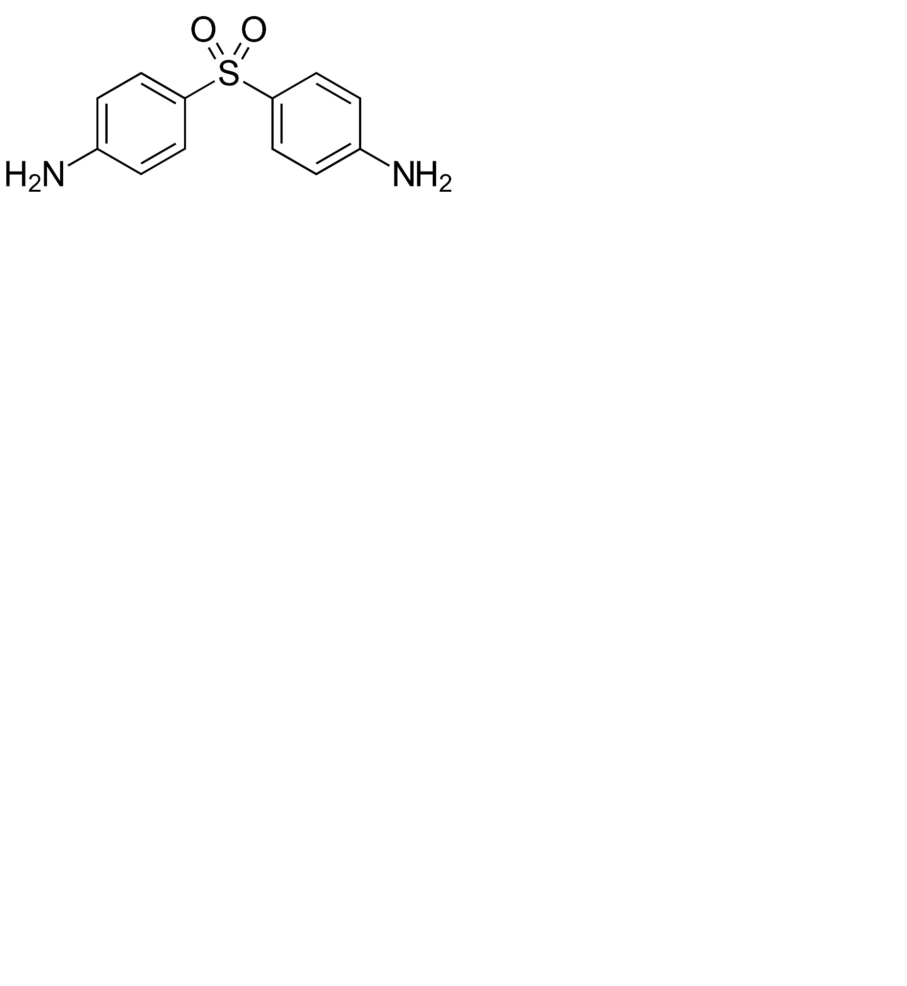
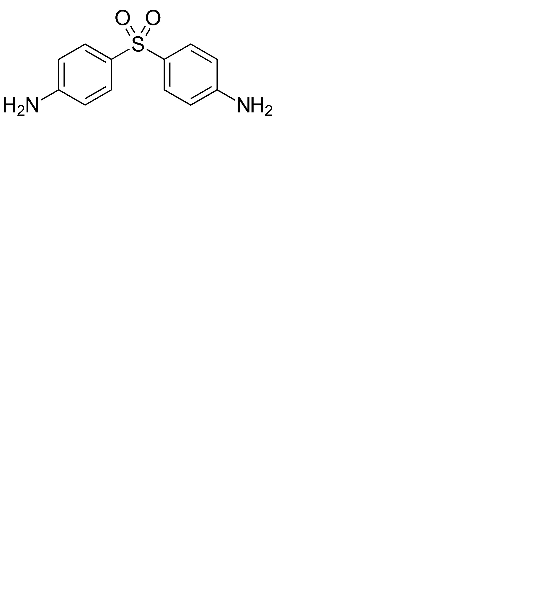
   Kemijska struktura  

masti
Stabilnost farmaceutskih pripravaka   masti   Stabilnost farmaceutskih pripravaka : Dapsone     
Kontejner Origine pomoćna tvar temperatura Konzerviranje Trajanje stabilnosti Bibliografija
plastična boca prašak 2000 mg
® = ?
Cleoderm® >> 40 g
15-30°C Zaštićeno od svjetlosti
180 dan
4879
plastična boca prašak 4000 mg
® = ?
Cleoderm® >> 40 g
15-30°C Zaštićeno od svjetlosti
180 dan
4879

  Mentions Légales