Dernière mise à jour :
27/04/2026
Antibiotique   Dapsone  
Forme dermique
Solution buvable
Stabilité des préparations Stabilité en mélange Facteur influençant la stabilité Compatibilités Bibliographie pdf
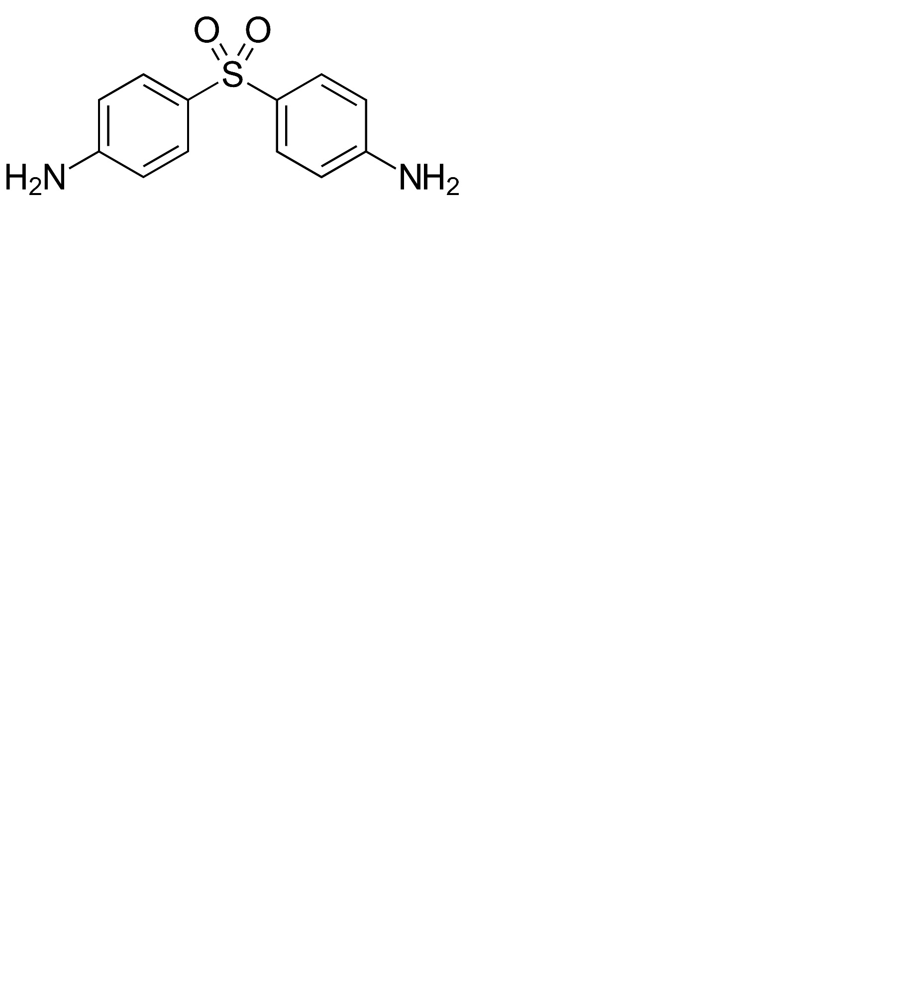
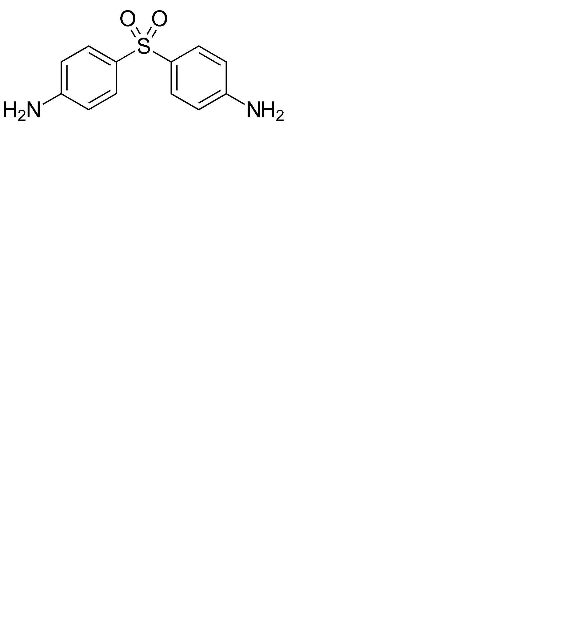
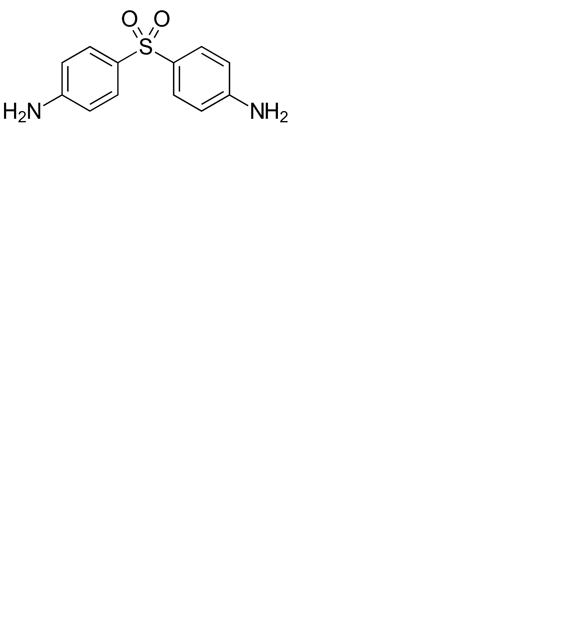
   Structure chimique  

Forme dermique
Stabilité des préparations   Forme dermique   Stabilité des préparations : Dapsone     
Contenant Origine Excipient Température Conservation Durée de stabilité Bibliographie
Flacon plastique Poudre 2000 mg
® = ?
Cleoderm® >> 40 g
15-30°C A l’abri de la lumière
180 Jour
4879
Flacon plastique Poudre 4000 mg
® = ?
Cleoderm® >> 40 g
15-30°C A l’abri de la lumière
180 Jour
4879

  Mentions Légales