Последно актуализиране :
18/03/2026
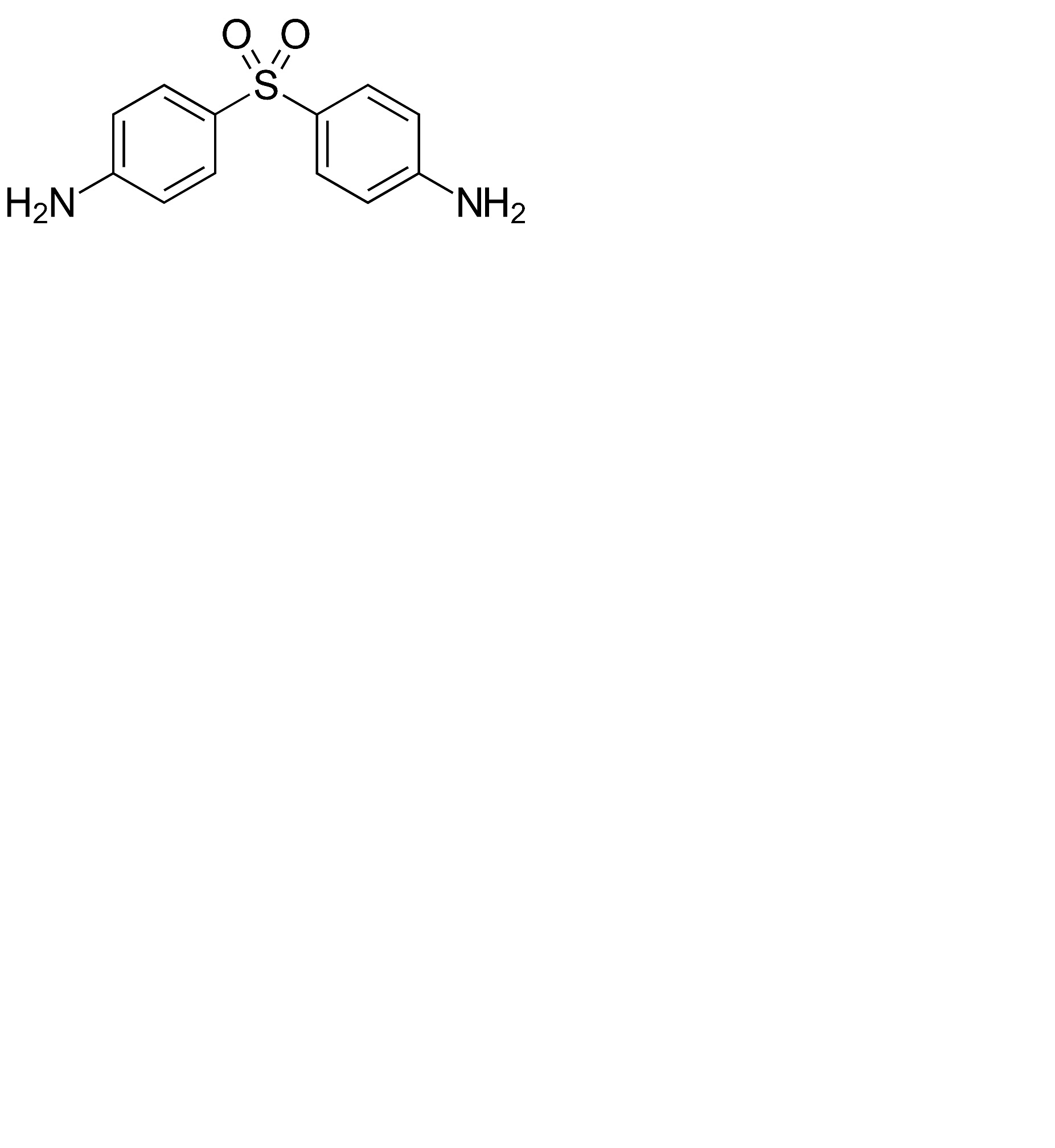
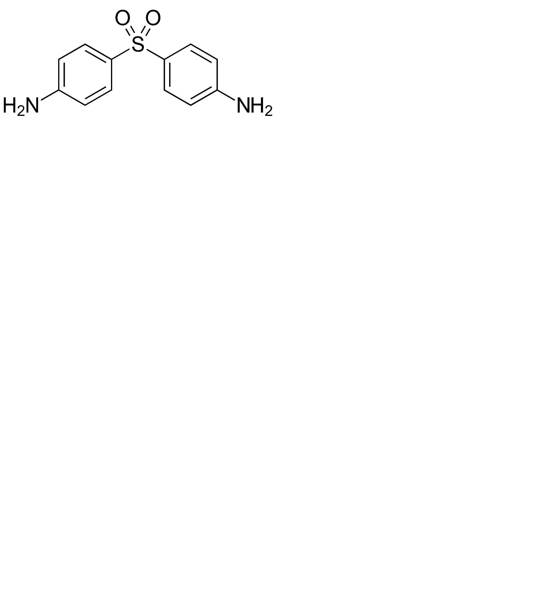
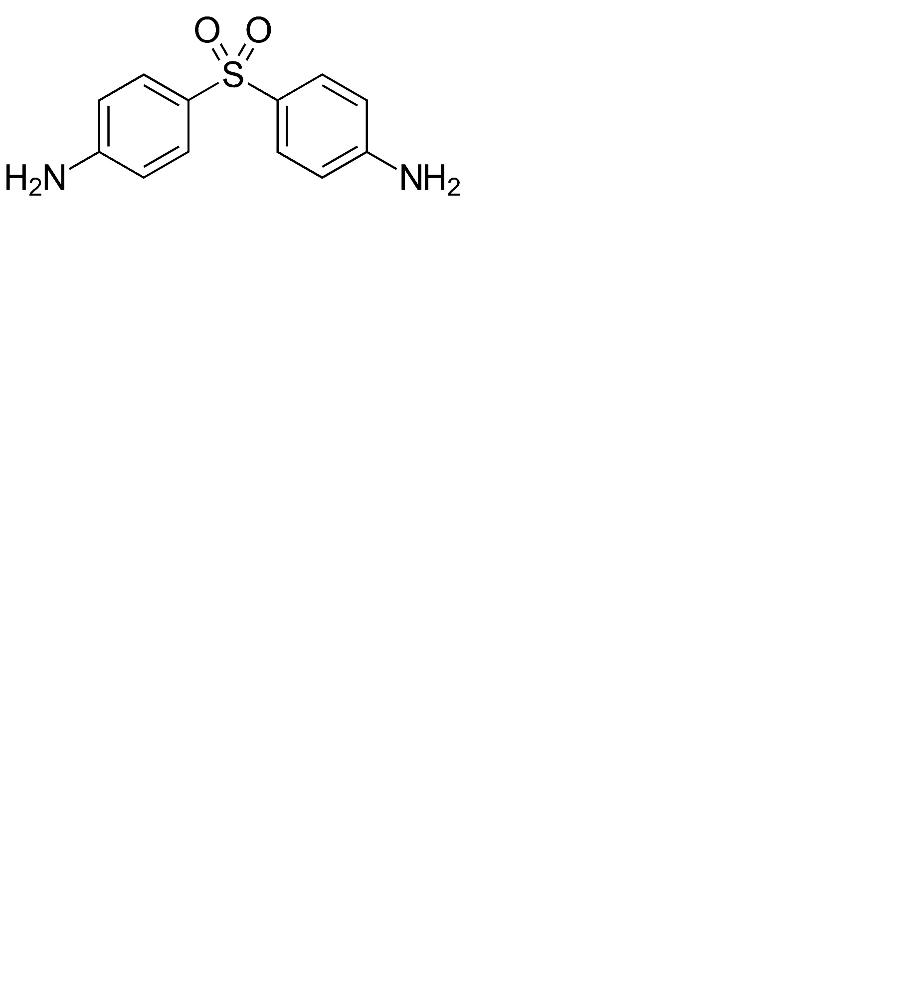
Антибиотик   Dapsone  
Унгвент/Унгвенти
Орален разтвор
Стабилност на лекарствени препарати Стабилност на смеси Фактори, повлияващи стабилността Съвместимост Библиография Pdf
   Химична структура  

Унгвент/Унгвенти
Стабилност на лекарствени препарати   Унгвент/Унгвенти   Стабилност на лекарствени препарати : Dapsone     
Контейнер Origine Помощно вещество Температура Съхранение Продължителност на стабилността Библиография
Пластмасова бутилка Прах 2000 mg
® = ?
Cleoderm® >> 40 g
15-30°C Защита от светлина
180 Ден
4879
Пластмасова бутилка Прах 4000 mg
® = ?
Cleoderm® >> 40 g
15-30°C Защита от светлина
180 Ден
4879

  Mentions Légales