Senaste uppdateringen :
05/12/2025
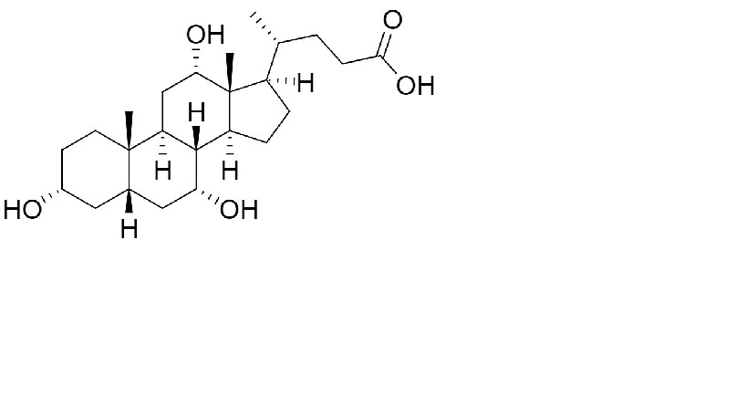
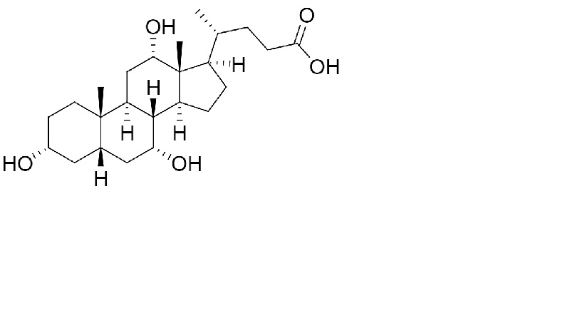
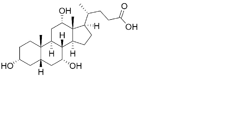
Diverse   Cholic acid  
Kapsel
Stabilitet av läkemedel Stabilitet i blandningar Faktorer som påverkar stabiliteten Kompatibilitet Hänvisningar pdf
   Molekylstruktur  

Kapsel
Stabilitet av läkemedel   Kapsel   Stabilitet av läkemedel : Cholic acid     
Behållare Origine Hjälpämne Temperatur Förvaring Stabilitets varaktighet Hänvisningar
Plastflaska Pulver 25 mg
® = ?
kolloidal kiseldioxid >>
Laktos >>
23-27°C Skyddas från ljus
365 Dag
4751

Plastflaska Pulver 250 mg
® = ?
kolloidal kiseldioxid >>
23-27°C Skyddas från ljus
365 Dag
4751

Plastflaska Pulver 25 mg
® = ?
kolloidal kiseldioxid >>
Laktos >>
38-42°C Skyddas från ljus
365 Dag
4751

Plastflaska Pulver 250 mg
® = ?
kolloidal kiseldioxid >>
38-42°C Skyddas från ljus
365 Dag
4751


  Mentions Légales