Siste oppdatering :
27/01/2026
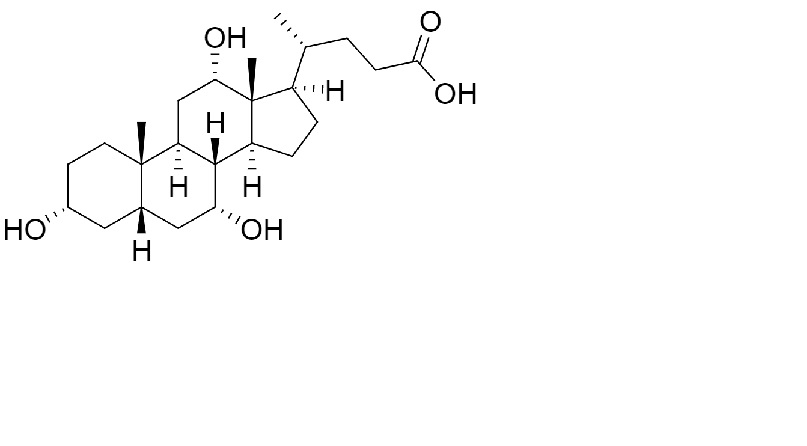
Forskjellig   Cholic acid  
Kapsel
Stabilitet av farmasøytiske preparater Stabilitet i blandinger Faktorer som påvirker stabiliteten Kompatibilitet Referanser pdf
   Kjemisk struktur  

Kapsel
Stabilitet av farmasøytiske preparater   Kapsel   Stabilitet av farmasøytiske preparater : Cholic acid     
Beholder Origine Hjelpestoff Temperatur Oppbevaring Varighet av stabilitet Referanser
Plastflaske Pulver 25 mg
® = ?
kolloidalt silika >>
Laktose >>
23-27°C Beskyttes mot lys
365 Dag
4751

Plastflaske Pulver 250 mg
® = ?
kolloidalt silika >>
23-27°C Beskyttes mot lys
365 Dag
4751

Plastflaske Pulver 25 mg
® = ?
kolloidalt silika >>
Laktose >>
38-42°C Beskyttes mot lys
365 Dag
4751

Plastflaske Pulver 250 mg
® = ?
kolloidalt silika >>
38-42°C Beskyttes mot lys
365 Dag
4751


  Mentions Légales