zadnja posodobitev :
05/12/2025
Infostab
Seznami
Seznami
Poiščite združljivosti
Tabela združljivosti Y-strani
Viri
raziskovalne skupine
valistab
poster
Povezave
sponzorji
Avtor
Navodilo za uporabo
Newsletter
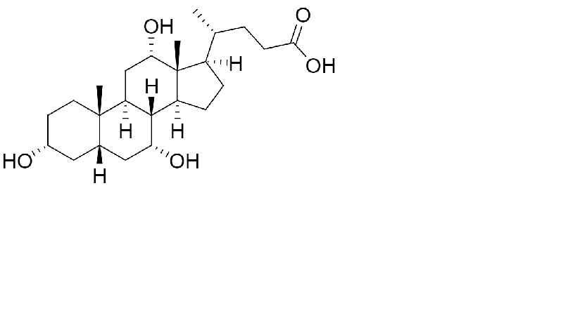
Cholic acid
Kemična formula
Stabilnost farmacevtskih preparatov : Cholic acid
25 mg
® = ?
koloidni silicijev dioksid
>>
Laktoza
>>
23-27°C
365
4751
250 mg
® = ?
koloidni silicijev dioksid
>>
23-27°C
365
4751
25 mg
® = ?
koloidni silicijev dioksid
>>
Laktoza
>>
38-42°C
365
4751
250 mg
® = ?
koloidni silicijev dioksid
>>
38-42°C
365
4751
Mentions Légales