Ostatnia aktualizacja :
27/01/2026
Różne   Cholic acid  
Kapsułka
Stabilność preparatów farmaceutycznych Trwałość w mieszaninie Czynnik wpływający na trwałość Zgodność Bibliografia pdf
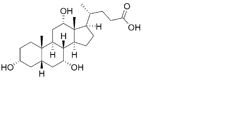
   Struktura chemiczna  

Kapsułka
Stabilność preparatów farmaceutycznych   Kapsułka   Stabilność preparatów farmaceutycznych : Cholic acid     
Pojemnik Origine Substancja pomocniczna Temperatura Przechowywanie Czas trwania stabilności Bibliografia
Butelka plastikowa Proszek 25 mg
® = ?
Koloidalna krzemionka >>
laktoza >>
23-27°C Chronić od światła
365 Dzień
4751

Butelka plastikowa Proszek 250 mg
® = ?
Koloidalna krzemionka >>
23-27°C Chronić od światła
365 Dzień
4751

Butelka plastikowa Proszek 25 mg
® = ?
Koloidalna krzemionka >>
laktoza >>
38-42°C Chronić od światła
365 Dzień
4751

Butelka plastikowa Proszek 250 mg
® = ?
Koloidalna krzemionka >>
38-42°C Chronić od światła
365 Dzień
4751


  Mentions Légales