Laatste update :
27/01/2026
Diverse   Cholic acid  
Capsule
Stabiliteit van farmaceutische preparaten Stabiliteit in mengsels Factoren die de stabiliteit beïnvloeden Verenigbaarheden Literatuur pdf
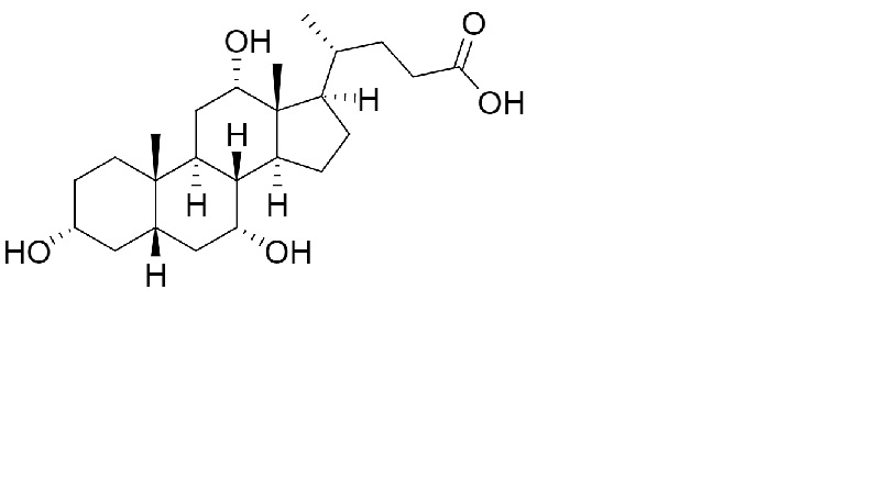
   Molecuulstructuur  

Capsule
Stabiliteit van farmaceutische preparaten   Capsule   Stabiliteit van farmaceutische preparaten : Cholic acid     
Verpakking Origine  ikˈsipēənt hulpstof Temperatuur Bewaring Duur van de stabiliteit Literatuur
plastic fles poeder 25 mg
® = ?
colloïdaal silicium >>
lactose >>
23-27°C Buiten invloed van licht
365 Dag
4751

plastic fles poeder 250 mg
® = ?
colloïdaal silicium >>
23-27°C Buiten invloed van licht
365 Dag
4751

plastic fles poeder 25 mg
® = ?
colloïdaal silicium >>
lactose >>
38-42°C Buiten invloed van licht
365 Dag
4751

plastic fles poeder 250 mg
® = ?
colloïdaal silicium >>
38-42°C Buiten invloed van licht
365 Dag
4751


  Mentions Légales