Τελευταία ενημέρωση :
27/01/2026
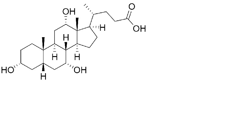
Λοιπά   Cholic acid  
Κάψουλα
Σταθερότητα και συμβατότητα των φαρμάκων Σταθερότητα σε μίγματα Παράγοντας που επηρεάζει τη σταθερότητα Συμβατότητες Βιβλιογραφία pdf
   χημική δομή  

Κάψουλα
Σταθερότητα και συμβατότητα των φαρμάκων   Κάψουλα   Σταθερότητα και συμβατότητα των φαρμάκων : Cholic acid     
Υποδοχέας Origine Έκδοχο Θερμοκρασία Αποθήκευση Διάρκεια σταθερότητας Βιβλιογραφία
Πλαστικό μπουκάλι Σκόνη 25 mg
® = ?
κολλοειδές πυρίτιο >>
Λακτόζη >>
23-27°C Προστατεύετε από το φως
365 Ημέρα
4751

Πλαστικό μπουκάλι Σκόνη 250 mg
® = ?
κολλοειδές πυρίτιο >>
23-27°C Προστατεύετε από το φως
365 Ημέρα
4751

Πλαστικό μπουκάλι Σκόνη 25 mg
® = ?
κολλοειδές πυρίτιο >>
Λακτόζη >>
38-42°C Προστατεύετε από το φως
365 Ημέρα
4751

Πλαστικό μπουκάλι Σκόνη 250 mg
® = ?
κολλοειδές πυρίτιο >>
38-42°C Προστατεύετε από το φως
365 Ημέρα
4751


  Mentions Légales