Dernière mise à jour :
05/12/2025
Infostab
Liste des molécules
Listes récapitulatives
Recherches de compatibilités
Tableau de compatibilités en Y
Bibliographie
Equipes de recherche
Valistab
Posters
Liens infostab
Partenaires
Auteurs
Manuel d'utilisation
Lettre d'actualité
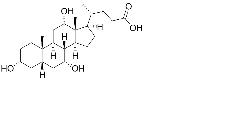
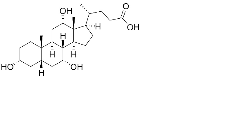
Cholic acid
Structure chimique
Stabilité des préparations : Cholic acid
25 mg
® = ?
Silice colloïdale
>>
Lactose
>>
23-27°C
365
4751
250 mg
® = ?
Silice colloïdale
>>
23-27°C
365
4751
25 mg
® = ?
Silice colloïdale
>>
Lactose
>>
38-42°C
365
4751
250 mg
® = ?
Silice colloïdale
>>
38-42°C
365
4751
Mentions Légales