Utolsó frissítés :
27/01/2026
Különféle   Cholic acid  
kapszula
Stabilitása gyógyszerészeti készítmények A keverékek stabilitása Stabilitást befolyásoló tényezők Kompatibilitás Irodalom pdf
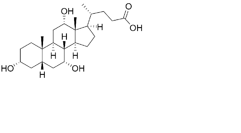
   Kémiai szerkezet   

kapszula
Stabilitása gyógyszerészeti készítmények   kapszula   Stabilitása gyógyszerészeti készítmények : Cholic acid     
Csomagolás Origine segédanyag Hőmérséklet Tárolás A stabilitás időtartama Irodalom
műanyag flakon por 25 mg
® = ?
kolloid szilícium-dioxid >>
laktóz >>
23-27°C Fénytől védve tartandó
365 Nap
4751

műanyag flakon por 250 mg
® = ?
kolloid szilícium-dioxid >>
23-27°C Fénytől védve tartandó
365 Nap
4751

műanyag flakon por 25 mg
® = ?
kolloid szilícium-dioxid >>
laktóz >>
38-42°C Fénytől védve tartandó
365 Nap
4751

műanyag flakon por 250 mg
® = ?
kolloid szilícium-dioxid >>
38-42°C Fénytől védve tartandó
365 Nap
4751


  Mentions Légales