Son güncelleme :
27/01/2026
Kurarimimetik   Atracurium besylate  
Enjeksiyon
Çözeltilerin stabilitesi Karışımlardaki stabilitesi Stabiliteyi etkileyen faktörler Uyumluluk Uygulama yöntemi Kaynaklar pdf
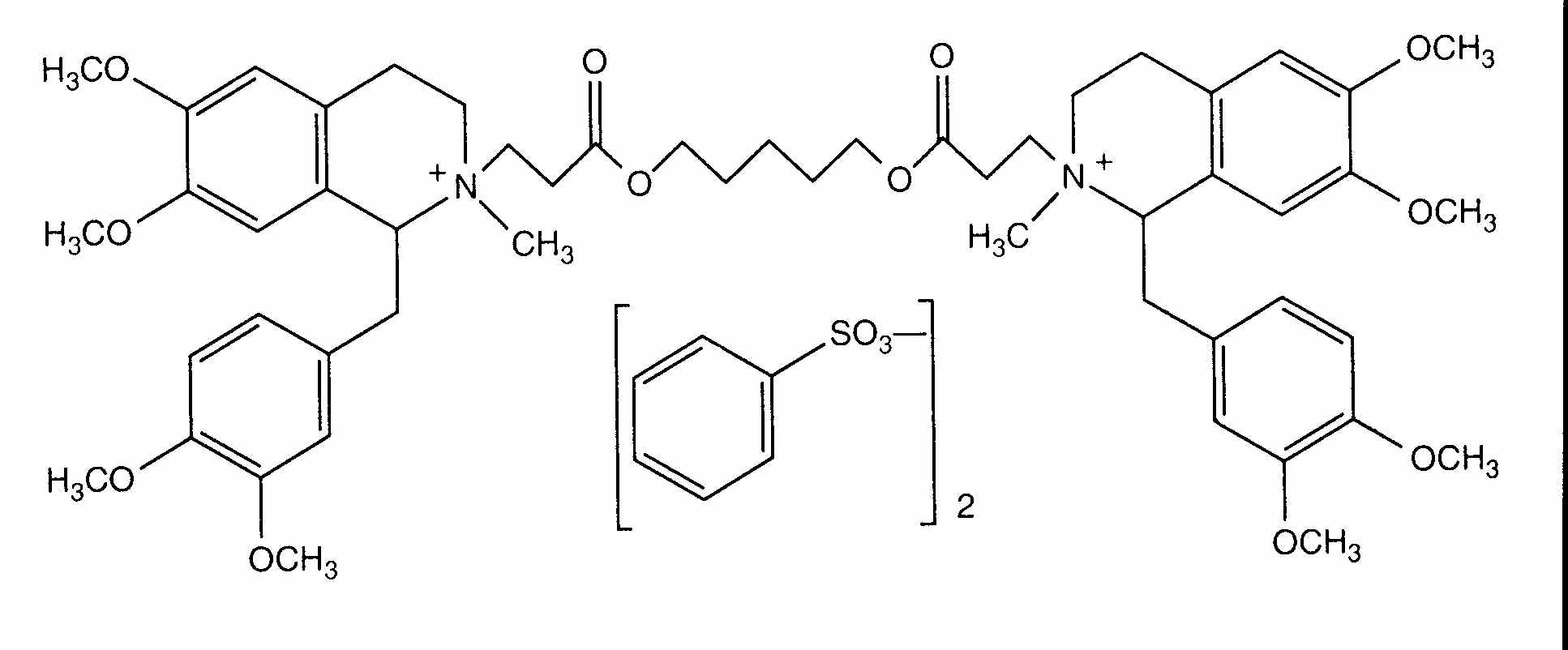
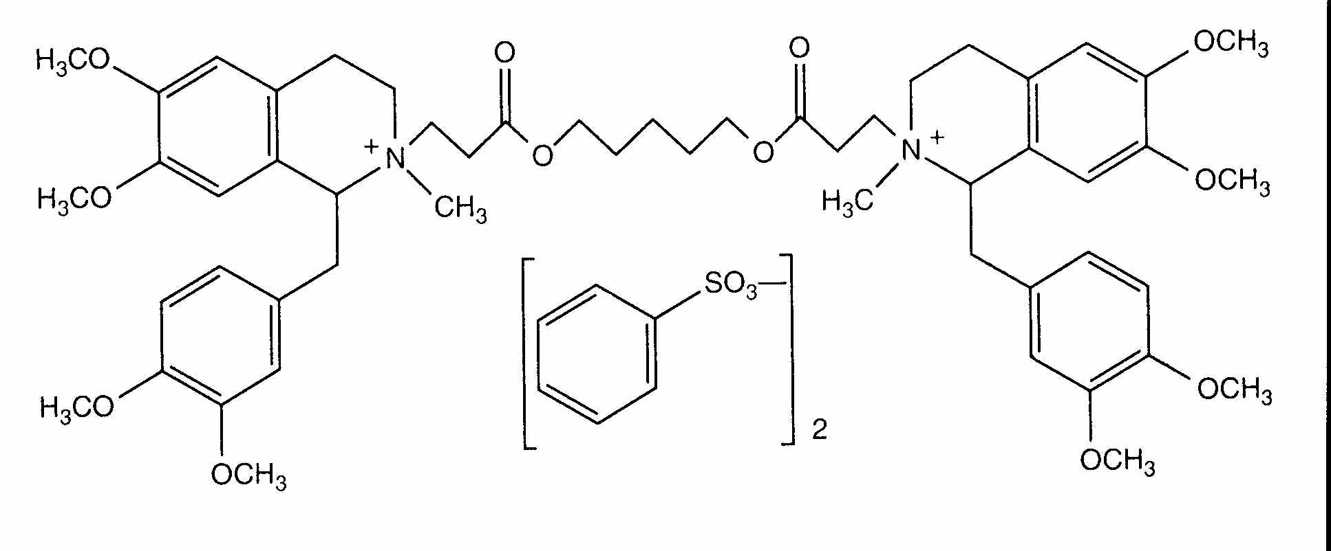
   Kimyasal yapı   

Ticari isim   Ticari isim     

Trade names are indicative and excipients composition can be different depending on the country and manufacturers

Abbocurium Polonya
Acurmil İtalya
Ancour İran
Anecur İran
Atacur Suudi Arabistan
Atrabesylate Mısır
Atracurio Arjantin, Brezilya, İspanya
Atracurio besilato İtalya, Peru, Şili, Venezuela
Atracurium Almanya, Arjantin, Avusturya, Birleşik Arap Emirlikleri, Büyük Britanya, İran, İsveç, İtalya, Malezya, Mısır, Suudi Arabistan
Atracurium besilat Avusturya
Atracurium besilate Amerika Birleşik Devletleri, Avustralya, Birleşik Arap Emirlikleri, İran, Kanada, Mısır, Suudi Arabistan, yeni Zelanda
Atralex Malezya
Atrasyl Türkiye
Besilato Atracurio İspanya, Portekiz, Şili
Faulcurium Mısır, Portekiz
Gelolagar Arjantin
Laurak İspanya
Neucurium Türkiye
Notrixum Türkiye
Relactrac Kolombiya
Relatrac Meksika
Tracrium Almanya, Amerika Birleşik Devletleri, Avusturya, Belçika, Birleşik Arap Emirlikleri, Büyük Britanya, Ekvador, Fas, Fransa, Hollanda, İran, İrlanda, İspanya, İsviçre, İtalya, Kolombiya, Lüksemburg, Macaristan, Malezya, Meksika, Mısır, Polonya, Portekiz, Romanya, Şili, Slovenya, Suudi Arabistan, Türkiye, yeni Zelanda, Yunanistan
Tracumek Peru
Tracurix Arjantin
Tracuron Arjantin
Çözeltilerin stabilitesi   Enjeksiyon    Çözeltilerin stabilitesi : Atracurium besylate     
Saklama kabı Çözücü Konsantrasyon Isı Saklama    Stabilite süresi Kaynaklar
Şırınga polipropilen Sodyum klorür % 0,9 0,5 >> 5 mg/ml < 30°C Işıktan koruyunuz
24 Zaman
3676
Üreticinin stabilite verileri

Şırınga polipropilen Glukoz %5 0,5 >> 5 mg/ml < 30°C Işıktan koruyunuz
24 Zaman
3676
Üreticinin stabilite verileri

Şırınga polipropilen Yok 10 mg/ml 25°C Belirtilmemiş
42 Gün
657
Kanıt düzeyi D

Şırınga polipropilen Yok 10 mg/ml 40°C Belirtilmemiş
7 Gün
657
Kanıt düzeyi D

Şırınga polipropilen Yok 10 mg/ml 5°C Işıktan koruyunuz
42 Gün
657
Kanıt düzeyi D


  Mentions Légales